DEFA14A

UNITED STATES

SECURITIES AND EXCHANGE COMMISSION

Washington, D.C. 20549

SCHEDULE 14A

Proxy Statement Pursuant to Section 14(a) of the Securities

Exchange Act of 1934

Filed by the Registrant    

Filed by a Party other than the Registrant    

Check the appropriate box:

 

   Preliminary Proxy Statement       Confidential, for Use of the Commission Only (as permitted by Rule 14a-6(e)(2))
   Definitive Proxy Statement      
   Definitive Additional Materials      
   Soliciting Material Pursuant to §240.14a-12      

INNOSPEC INC.

 

 

(Name of Registrant as Specified In Its Charter)

Payment of Filing Fee (Check all boxes that apply):

 

 

No fee required

 

 

Fee paid previously with preliminary materials

 

 

Fee computed on table in exhibit required by Item 25(b) per Exchange Act Rules 14a-6(i)(1) and 0-11


LOGO Online Go to www.envisionreports.com/iosp or scan the QR code - login details are located in the shaded bar below. Innospec Inc. Stockholder Meeting Notice 1234 5678 9012 345 Important Notice Regarding the Availability of Proxy Materials for Innospec Inc. Stockholder Meeting to be Held on May 4, 2022 Under Securities and Exchange Commission rules, you are receiving this notice that the proxy materials for the annual stockholders' meeting are available on the Internet. Follow the instructions below to view the materials and vote online or request a copy. The items to be voted on and location of the annual meeting are on the reverse side. Your vote is important! This communication presents only an overview of the more complete proxy materials that are available to you on the Internet. We encourage you to access and review all of the important information contained in the proxy materials before voting. The 2021 proxy statement and annual report on Form 10-K to stockholders are available at: www.envisionreports.com/iosp Easy Online Access - View your proxy materials and vote. Step 1: Go to www.envisionreports.com/iosp Step 2: Click on Cast Your Vote or Request Materials. Step 3:Follow the instructions on the screen to log in. Step 4: Make your selections as instructed on each screen for your delivery preferences. Step 5:Vote your shares. When you go online, you can also help the environment by consenting to receive electronic delivery of future materials. Obtaining a Copy of the Proxy Materials - If you want to receive a copy of the proxy materials, you must request one. There is no charge to you for requesting a copy. Please make your request as instructed on the reverse side on or before April 20, 2022 to facilitate timely delivery.


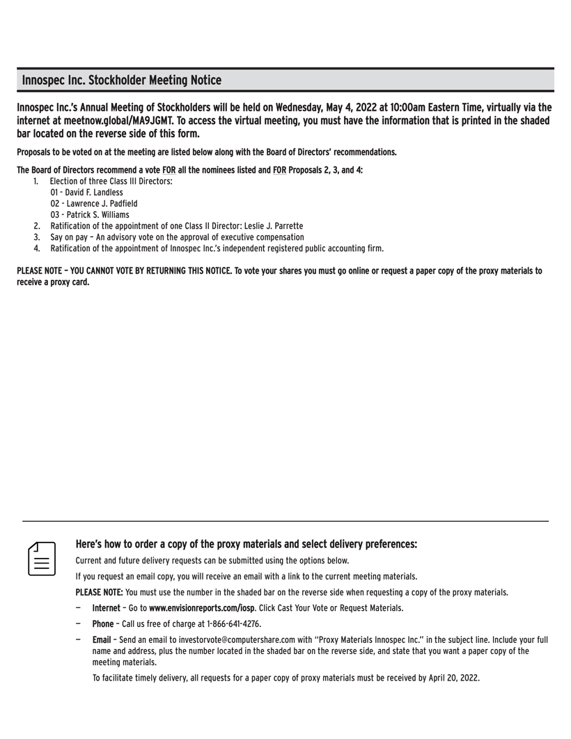
LOGO Innospec Inc. Stockholder Meeting Notice Innospec Inc.'s Annual Meeting of Stockholders will be held on Wednesday, May 4, 2022 at 10:00am Eastern Time, virtually via the internet at meetnow.global/MA9JGMT. To access the virtual meeting, you must have the information that is printed in the shaded bar located on the reverse side of this form. Proposals to be voted on at the meeting are listed below along with the Board of Directors' recommendations. The Board of Directors recommend a vote FOR all the nominees listed and FOR Proposals 2, 3, and 4: 1. Election of three Class III Directors: 01-David F. Landless 02-Lawrence J. Padfield 03-Patrick S. Williams 2. Ratification of the appointment of one Class II Director: Leslie J. Parrette 3. Say on pay - An advisory vote on the approval of executive compensation 4. Ratification of the appointment of Innospec Inc.'s independent registered public accounting firm. PLEASE NOTE - YOU CANNOT VOTE BY RETURNING THIS NOTICE. To vote your shares you must go online or request a paper copy of the proxy materials to receive a proxy card. Here's how to order a copy of the proxy materials and select delivery preferences: Current and future delivery requests can be submitted using the options below. If you request an email copy, you will receive an email with a link to the current meeting materials. PLEASE NOTE: You must use the number in the shaded bar on the reverse side when requesting a copy of the proxy materials. -Internet - Go to www.envisionreports.com/iosp. Click Cast Your Vote or Request Materials. -Phone - Call us free of charge at 1-866-641-4276. -Email - Send an email to investorvote@computershare.com with "Proxy Materials Innospec Inc." in the subject line. Include your full name and address, plus the number located in the shaded bar on the reverse side, and state that you want a paper copy of the meeting materials. To facilitate timely delivery, all requests for a paper copy of proxy materials must be received by April 20, 2022.