Octel Corp. Notice and Proxy
Table of Contents

UNITED STATES

SECURITIES AND EXCHANGE COMMISSION

WASHINGTON, D.C. 20549

 

SCHEDULE 14A

Proxy Statement Pursuant to Section 14(a) of the Securities

Exchange Act of 1934

 

Filed by the Registrant    x

 

Filed by a Party other than the Registrant    ¨

 

Check the appropriate box:

 

¨        Preliminary Proxy Statement

 

¨        Confidential, For Use of the Commission Only (as permitted by Rule 14a-6(e)(2))

x       Definitive Proxy Statement

   

¨        Definitive Additional Materials

   

¨        Soliciting Material Pursuant to §240.14A-11(c) or §240.14a-12

   

 

OCTEL CORP.


(Name of Registrant as Specified in Its Charter)

 


(Name of Person(s) Filing Proxy Statement, if other than the Registrant)

 

Payment of Filing Fee (Check the appropriate box):

 

x    No fee required.

 

¨    Fee computed on table below per Exchange Act Rules 14a-6(i)(4) and 0-11.

 

  1.   Title of each class of securities to which transaction applies:

 

  2.   Aggregate number of securities to which transaction applies:

 

  3.   Per unit price or other underlying value of transaction computed pursuant to Exchange Act Rule 0-11 (set forth the amount on which the filing fee is calculated and state how it was determined):

 

  4.   Proposed maximum aggregate value of transaction:

 

  5.   Total fee paid:

 

¨    Fee paid previously with preliminary materials:

 

  ¨   Check box if any part of the fee is offset as provided by Exchange Act Rule 0-11(a)(2) and identify the filing for which the offsetting fee was paid previously. Identify the previous filing by registration statement number, or the Form or Schedule and the date of its filing.

 

  1.   Amount previously paid:

 

  2.   Form, Schedule or Registration Statement No.:

 

  3.   Filing Party:

 

  4.   Date Filed:


Table of Contents

LOGO

 

OCTEL CORP.

 

220 Continental Drive

  DENNIS J. KERRISON

Newark, DE 19713

  President and Chief Executive Officer

 

Dear Stockholder:

  March 31, 2005

 

You are cordially invited to attend the Annual Meeting of Stockholders of Octel Corp. (the “Corporation”), which will be held on May 3, 2005 at 10:00 a.m. local time, at the Hyatt Regency Boston, One Avenue de Lafayette, Boston, MA 02111, U.S.A.

 

The Notice of Meeting, Proxy Statement, Proxy Form and Annual Report of the Corporation are included with this letter. The matters listed in the Notice of Meeting are more fully described in the Proxy Statement.

 

It is important that your shares are represented and voted at the Annual Meeting, regardless of the size of your holdings. Accordingly, please mark, sign and date the enclosed Proxy Form and return it promptly in the enclosed reply envelope which requires no postage if mailed in the United States of America. If you sign and return your Proxy Form without specifying your choices, it will be understood that you wish to have your shares voted in accordance with the directors’ recommendations as set forth in the attached Proxy Statement.

 

Sincerely,

 

 

/s/ Dennis J. Kerrison

 

DENNIS J. KERRISON

President and Chief Executive Officer


Table of Contents

TABLE OF CONTENTS

 

Notice of Annual Meeting of Stockholders

   

Annual Meeting of Stockholders

  1

Record Date and Quorum

  1

Proxies

  1

Required Votes

  2

Proposal One

   

Re-Election of Current Directors

  3

Proposal Two

   

Election of New Director

  3

Proposal Three

   

Ratification of Appointment of Independent Registered Public Accounting Firm

  4

Management

  5

Nominees for Director

  5

Continuing Directors

  5

Officers

  6

Family Relationships

  7

Legal Proceedings

  7

Corporate Governance

  9

Corporate Governance Guidelines

  9

Information about the Board of Directors

  9

Committees of the Board of Directors

  11

Compensation of Directors

  13

Section 16(a) Beneficial Ownership Reporting Compliance

  14

Transactions with Executives, Officers, Directors and Others

  14

Certain Other Transactions and Relationships

  15

Security Ownership of Certain Beneficial Owners and Management

  15

Beneficial Owners

  15

Share Ownership of Directors and Officers

  16

Executive Compensation and Other Information

  17

Report of the Compensation Committee of the Board of Directors on Executive Compensation

  24

Audit Committee Report

  27

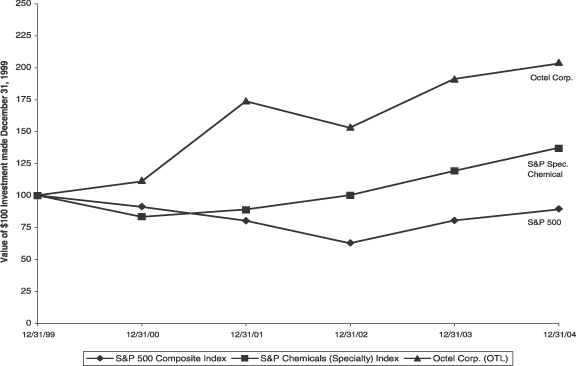
Stock Price Performance Graph

  29

Information Regarding the Corporation’s Independent Registered Public Accounting Firm

  30

Other Matters

  30

Solicitation and Expenses of Solicitation

  30

Annual Report to Stockholders and Annual Report on Form 10-K

  30

Stockholders’ Proposals for the 2006 Annual Meeting

  31

Appendix A—Audit Committee Charter (as amended)

  A-1

Appendix B—Audit Committee Pre-Approval Policy for Audit and Non-Audit Services

  B-1


Table of Contents

OCTEL CORP.

 

220 Continental Drive

Newark, DE 19713

U.S.A.

 


Notice of Annual Meeting of Stockholders


 

May 3, 2005

 

NOTICE IS HEREBY GIVEN that the Annual General Meeting of Stockholders of Octel Corp. (the “Corporation”) will be held at 10:00 a.m. local time on May 3, 2005 at the Hyatt Regency Boston, One Avenue de Lafayette, Boston, MA 02111, USA for the following purposes:

 

  1.   To re-elect two current directors to serve until the 2008 Annual Meeting;

 

  2.   To elect one new director to serve until the 2008 Annual Meeting;

 

  3.   To ratify the appointment of PricewaterhouseCoopers LLP as the Corporation’s independent registered public accounting firm for the fiscal year ending December 31, 2005; and

 

  4.   To transact such other business as may properly come before the meeting or any adjournment thereof.

 

The Board of Directors has fixed March 4, 2005 as the date of record for the meeting and only stockholders of record at the close of business on that date will be entitled to vote at the meeting or any postponement or adjournment thereof. A list of such stockholders will be available for examination by any stockholder for any purpose germane to the meeting both at the meeting and during normal business hours at the Corporation’s offices at 220 Continental Drive, Newark, DE 19713, U.S.A. for a period of 10 days prior to the meeting.

 

A proxy statement, form of proxy and a copy of the annual report of the Corporation for the year ended December 31, 2004 are enclosed.

 

By Order of the Board of Directors,

 

 

/s/ Andrew Hartley

 

Andrew Hartley

Vice President and General Counsel

 

March 31, 2005

 

WHETHER OR NOT YOU PLAN TO ATTEND THE ANNUAL MEETING IN PERSON AND REGARDLESS OF THE NUMBER OF SHARES YOU OWN, PLEASE MARK, SIGN AND DATE THE ENCLOSED PROXY FORM AND MAIL IT PROMPTLY IN THE ENVELOPE PROVIDED TO ENSURE THAT YOUR SHARES WILL BE REPRESENTED. YOU MAY NEVERTHELESS VOTE IN PERSON IF YOU ATTEND THE ANNUAL MEETING. IN ADDITION, YOUR PROXY IS REVOCABLE AT ANY TIME BEFORE IT IS VOTED BY WRITTEN NOTICE TO THE SECRETARY OF THE CORPORATION OR BY DELIVERY OF A LATER DATED PROXY.


Table of Contents

OCTEL CORP.

 

220 Continental Drive

Newark, DE 19713

U.S.A.

 


 

PROXY STATEMENT

March 31, 2005

for

Annual Meeting of Stockholders

To Be Held On May 3, 2005

 


 

This proxy statement (the “Proxy Statement”) is being furnished to the holders of common stock, par value $0.01 per share (the “Common Stock”), of Octel Corp., a Delaware corporation (the “Corporation”) in connection with the solicitation of proxies by and on behalf of the Board of Directors of the Corporation (the “Board of Directors” or the “Board”) for use at the annual meeting of stockholders to be held on May 3, 2005 at 10:00 a.m. local time, and at any adjournments or postponements thereof (the “Annual Meeting”). The purpose of the Annual Meeting is:

 

  ·   to re-elect two directors to the Board,

 

  ·   to elect one new director to the Board, and

 

  ·   to ratify the appointment of PricewaterhouseCoopers LLP as the Corporation’s independent registered public accounting firm for the 2005 fiscal year.

 

Record Date and Quorum

 

This Proxy Statement, the Proxy Form and the Corporation’s Annual Report to Stockholders are being mailed on or about March 31, 2005 to holders of record of the Common Stock at the close of business on March 4, 2005 (the “Record Date”). Each outstanding share of Common Stock entitles the holder thereof as of the record date to one vote (or where a part share shall be owned a proportionate part of the vote of one share) on each matter to come before the Annual Meeting. As of the Record Date, excluding treasury stock, there were 14,777,250 shares of Common Stock outstanding. There are no other outstanding voting securities of the Corporation other than the Common Stock.

 

The presence at the Annual Meeting in person or by proxy of the holders of a majority of the shares of Common Stock outstanding and entitled to vote will constitute a quorum for the transaction of business. Abstentions and broker “non-votes” are treated as present and entitled to vote, and therefore are counted in determining the existence of a quorum. At the Annual Meeting, election inspectors will determine whether or not a quorum is present.

 

A broker “non-vote” occurs when a nominee holding shares for a beneficial owner does not vote on a particular proposal because the nominee does not have discretionary voting power with respect to that item and has not received voting instructions from the beneficial owner with respect to such item.

 

Proxies

 

If the enclosed proxy form (the “Proxy Form”) is properly signed, dated and returned to the Corporation, the individuals identified as proxies thereon will vote the shares represented by the Proxy Form in accordance with the directions noted thereon. If you do not indicate how your shares should be voted on a matter, the shares

 

1


Table of Contents

represented by your properly completed Proxy Form will be voted as the Board of Directors recommends. The Corporation’s management does not know of any matters other than those discussed in this Proxy Statement that will be presented at the Annual Meeting. If other matters are presented, all proxies will be voted in accordance with the recommendations of the Corporation’s Board of Directors unless the stockholder otherwise specifies in the Proxy Form.

 

Returning your completed Proxy Form will not prevent you from voting in person at the Annual Meeting if you are present and wish to vote. In addition, you may revoke your proxy at any time before it is voted by sending written notice of revocation or by submission of a properly executed proxy bearing a later date to the Secretary of the Corporation prior to the Annual Meeting at the Corporation’s principal executive offices at the address above.

 

Required Votes

 

Proposal One (Re-Election of Directors): The election of directors is decided by the affirmative vote of a plurality of the votes duly cast by holders of all shares entitled to vote in the election. Abstentions and broker “non-votes” are not counted as votes cast for the purpose of electing directors. Accordingly, abstentions and broker “non-votes” will not be taken into account and, therefore, will not affect the outcome of the election of directors.

 

Proposal Two (Election of New Director): The election of directors is decided by the affirmative vote of a plurality of the votes duly cast by holders of all shares entitled to vote in the election. Abstentions and broker “non-votes” are not counted as votes cast for the purpose of electing directors. Accordingly, abstentions and broker “non-votes” will not be taken into account and, therefore, will not affect the outcome of the election of directors.

 

Proposal Three (Ratification of Appointment of Independent Registered Public Accounting Firm): The affirmative vote of the majority of the shares present in person or represented by proxy at the Annual Meeting and entitled to vote on this proposal is required to ratify the appointment of PricewaterhouseCoopers LLP as the Corporation’s independent registered public accounting firm for the fiscal year ending December 31, 2005. A broker or nominee has discretion to vote on this matter. Accordingly, both abstentions and broker “non-votes” will be treated as present and entitled to vote and, therefore, will have the effect of votes against this proposal.

 

2


Table of Contents

PROPOSAL ONE

(Item 1 on the Proxy Form)

 

Re-election of Current Class I Directors

 

The Bylaws of the Corporation provide that the number of directors shall be not less than three nor more than 12, the exact number of which shall be determined from time to time by resolution adopted by the Board of Directors, and that the Board shall be divided into three classes, designated Class I, Class II and Class III. Each class shall consist, as nearly as may be possible, of one-third of the total number of directors constituting the entire Board of Directors. Currently, the Board has 8 members, three in Class I, two in Class II and three in Class III and the appointments of the directors in such Classes expire at the Annual Meetings of the Corporation in 2005, 2006 and 2007, respectively.

 

Directors in Class I, Mr. Charles M. Hale and Mr. Samuel A. Haubold, whose terms expire at the upcoming Annual Meeting, have been nominated for re-election. See “Management—Nominees for Director” for information with respect to Messrs. C. Hale and Haubold. The Corporation believes that the nominees are willing to be elected and to serve. In the event that the nominees are unable to serve or are otherwise unavailable for election, which is not now contemplated, the incumbent Board may or may not select a substitute nominee. If a substituted nominee is selected, all proxies will be voted for the person selected.

 

The election of directors at the Annual Meeting requires a plurality of the votes actually cast by the stockholders present (in person or by proxy) at the meeting and entitled to vote. There is no cumulative voting as to any matter, including the election of directors.

 

The Board of Directors recommends a vote “FOR” the re-election of the nominee current directors.

 

PROPOSAL TWO

(Item 2 on the Proxy Form)

 

Election of a New Director

 

The Bylaws of the Corporation provide that the number of directors shall be not less than three nor more than 12, the exact number of which shall be determined from time to time by resolution adopted by the Board of Directors, and that the Board shall be divided into three classes, designated Class I, Class II and Class III. Each class shall consist, as nearly as may be possible, of one-third of the total number of directors constituting the entire Board of Directors. By resolution of the Board of Directors dated December 15, 2004, the Board of Directors increased the number of members on the Board of Directors from seven to eight; three directors in Class I, two directors in Class II and three directors in Class III and the appointments of the directors in such Classes expire at the Annual Meetings of the Corporation in 2005, 2006 and 2007, respectively.

 

Mr. Hugh Aldous was elected to the Board in accordance with Article III of the Bylaws to fill the vacancy on the Board created as a result of the increase in the number of members by resolution of the Board passed on December 15, 2004. Mr. Aldous will serve until the date of the 2005 Annual Meeting. Mr. Aldous has also been nominated for election as a Class I Director to the Board of Directors to serve until the Corporation’s 2008 Annual Meeting. See “Management—Nominees for Director” for information with respect to Mr. Aldous. The Board of Directors appointed Mr. Aldous to serve on the Audit Committee after the Corporation’s February 15, 2005 Board Meeting. The Corporation believes that Mr. Aldous is willing to be elected and to serve. In the event that Mr. Aldous is unable to serve or is otherwise unavailable for election, which is not now contemplated, the incumbent Board may or may not select a substitute nominee. If a substituted nominee is selected, all proxies will be voted for the person selected.

 

The election of directors at the Annual Meeting requires a plurality of the votes actually cast by the stockholders present (in person or by proxy) at the meeting and entitled to vote. There is no cumulative voting as to any matter, including the election of directors.

 

The Board of Directors recommends a vote “FOR” the election of the nominee director.

 

3


Table of Contents

PROPOSAL THREE

(Item 3 on the Proxy Form)

 

Ratification of Appointment of Independent Registered Public Accounting Firm

 

The Audit Committee has appointed the accounting firm of PricewaterhouseCoopers LLP to serve as independent registered public accounting firm of the Corporation with respect to the 2005 fiscal year to examine the financial statements of the Corporation for the fiscal year ending December 31, 2005 and to perform other appropriate accounting services. PricewaterhouseCoopers LLP served as the Corporation’s independent registered public accounting firm for fiscal year 2004.

 

A representative of PricewaterhouseCoopers LLP is expected to be present at the Annual Meeting to respond to questions and to make a statement if such representative desires to do so. If the stockholders do not ratify this appointment by the affirmative vote of a majority of the shares represented in person or by proxy at the Annual Meeting, the Audit Committee will consider other independent registered public accounting firms.

 

The Board of Directors recommends a vote “FOR” ratification of the appointment of PricewaterhouseCoopers LLP as the Corporation’s independent registered public accounting firm for the fiscal year ending December 31, 2005.

 

4


Table of Contents

MANAGEMENT

 

The following sets forth certain information as of March 31, 2005 with respect to the Corporation’s nominees for directors, the Corporation’s continuing directors and certain officers of the Corporation and its subsidiaries (including all executive officers of the Corporation). Officers of the Corporation serve at the discretion of the Board of Directors.

 

Nominees for Director

 

Class I Directors who will serve until the 2005 Annual Meeting and are seeking re-election

 

Charles M. Hale—Director since May 7, 1998

Age: 69

Charles Hale is Executive Chairman of Polar Capital Partners Limited, a London based asset management company regulated by the FSA. Prior to 2002, he was Vice Chairman of CSFB Europe Limited, having been Chairman of Donaldson, Lufkin & Jenrette International, the London based subsidiary of Donaldson Lufkin & Jenrette Inc., until its acquisition by Credit Suisse First Boston in November 2000. Prior to 1984, he was a general partner of Lehman Brothers Kuhn Loeb and Managing Director of AG Becker International. Mr. Hale is a graduate of Stanford University and Harvard Business School. Charles Hale is the brother of Martin Hale who is also a director of the Corporation. Mr. Charles Hale is the Chairman of the Finance Committee and a member of the Audit and Compensation Committees.

 

Samuel A. Haubold—Director since November 19, 2002

Age: 66

Samuel A. Haubold regularly serves as an arbitrator and mediator of international commercial disputes. He is currently affiliated with Littleton Chambers, a chamber of barristers in London. Prior to his retirement in July 2003, Mr. Haubold had been the Senior Partner of Kirkland & Ellis International in London since 1995. Mr. Haubold is a graduate of the Harvard Law School and is a member of the Advisory Council of the Institute of United States Studies, University of London. Mr. Haubold is the Chairman of the Nominating and Corporate Governance Committee and a member of the Compensation Committee.

 

Hugh Aldous—Director effective May 3, 2005 (if approved)

Age: 60

Hugh Aldous is a partner at RSM Robson Rhodes, Chartered Accountants and Management Consultants where he served as Chief Executive Officer from 1987 to 1997. Mr. Aldous currently serves as Chairman of two buy-out funds: Craegmoor Healthcare Limited, a £180 million private equity carehome company, and Eastern European Trust plc, a London listed co-investor in Russia and Eastern Europe. Mr. Aldous is also a non-executive director of two listed public investment companies Henderson TR Pacific Trust plc and Elderstreet Millennium Venture Capital Trust plc. Mr. Aldous has authored several reports on corporate governance issues and has served as the Audit Committee Chairperson for several companies and currently Mr. Aldous chairs the Audit Committee of Henderson TR Pacific Trust plc and Elderstreet Millennium Venture Capital Trust plc. Mr. Aldous is a member of the Audit Committee.

 

Continuing Directors

 

The Class II members who will serve until the 2006 Annual Meeting

 

James M. C. Puckridge—Director since May 7, 1998

Age: 69

James Puckridge was Chairman of Elf Atochem U.K. Ltd. (now Atofina U.K. Ltd.), a position he assumed in 1990, until his retirement on December 31, 1998. Prior to that he was Managing Director of the same organization. He is a non-executive director of Thomas Swan and Co Ltd., a U.K. based specialty chemical corporation and venture capitalist. He is a past President of the British Plastics Federation and a former Council Member of the Chemical Industries Association, where he was Chairman of the General Purpose and Finance Committee. He has been Chairman of the Trustees of The Associated Octel Company Limited Pension Plan since October 3, 2000. Mr. Puckridge is Chairman of the Compensation and the Safety, Health and Environmental Committees and is a member of the Nominating and Corporate Governance Committee.

 

5


Table of Contents

Dr. Benito Fiore—Director since May 7, 1998

Age: 67

Dr. Benito Fiore is a specialist in the chemical industry retained by the chemical practices division of A T Kearney Limited, part of a global consultancy organization. Between 1990 and 1995 he was Chairman and Chief Executive Officer of Enichem U.K. Ltd. Prior to this he held a number of executive directorships in the Montedison Group working in Denmark, Canada, Italy and the U.S.A. He is a Member of the Council of the Italian Chamber of Commerce, an Associate Member of the Council of the Chemical Industries Association and a Fellow of the Institute of Directors. Dr. Fiore is a member of the Safety, Health and Environmental Committee.

 

Class III Directors who will serve until the 2007 Annual Meeting

 

Dr. Robert E. Bew—Director and Chairman since May 7, 1998

Age: 68

Dr. Robert Bew serves as Non-Employee Chairman of the Corporation. Until January 1, 2001 he was Chairman of the European Process Industries Competitiveness Centre, an organization specializing in increasing competitiveness in process industries, and until 2002 he was Chairman of the Teesside Chemical Initiatives (TCI). He spent over 35 years with ICI, most recently as CEO of ICI’s International Chemical & Polymer division based in Teesside, U.K. Previously he served as head of ICI Corporate Planning and between 1995 and 1997 he was also Chairman of Phillips Imperial Petroleum Ltd., a refinery joint venture between ICI and Phillips Petroleum. Dr. Bew is a member of the Executive, Audit and Finance Committees.

 

Dennis J. Kerrison—Director since February 27, 1998

Age: 60

Dennis Kerrison serves as President and Chief Executive Officer of the Corporation. He joined the Corporation’s wholly owned subsidiary The Associated Octel Company Limited as Managing Director in May 1996 as well as serving as a Group Vice President and Officer of that Corporation’s then owners, Great Lakes Chemical Corporation. Between 1992 and 1996 he was a Director and Officer of Hickson International plc, his last position being Chief Executive Officer. Prior to this he worked in senior management roles for specialty chemical companies, in Europe and the United States, notably Rhone Poulenc, Rohm & Haas and RTZ Chemicals. Mr. Kerrison is a member of the Executive and Finance Committees.

 

Martin M. Hale—Director since February 27, 1998

Age: 64

Martin Hale is a Director of Great Lakes Chemical Corporation, having been a Director since 1978 and from 1995 until May 2000 served as Chairman. Prior to 1983, Mr. Hale was President and Chief Executive Officer of Marsh & McClennan Asset Management Company. From 1983 to 2001 Mr. Hale was Executive Vice President and Partner of Hellman Jordan Management Co, a registered investment adviser. He also serves as a Trustee of the Museum of Fine Arts, Boston. Martin Hale is the brother of Charles Hale who is also a Director of the Corporation. Mr. Martin Hale is the Chairman of the Audit Committee and a member of the Executive Committee.

 

Officers (other than those who are directors and listed above)

 

Andrew Hartley (Appointed November 1, 2004)

Age: 48

Andrew Hartley serves as Vice President and General Counsel to the Corporation, having been appointed as Corporate Secretary on November 1, 2004. Prior to this Mr. Hartley was Company Secretary and General Counsel of BASF plc, the UK subsidiary of the global chemical company, BASF AG. He has held in-house legal positions since 1990, prior to which he worked in private practice.

 

Dr. Catherine Hessner (Appointed August 12, 2003)

Age: 46

Cathy Hessner serves as Senior Vice President, Human Resources of the Corporation, having joined it in March 2003. Prior to joining the Corporation, she served as European Human Resources Director for Nova Chemicals, a US commodity chemicals company. From 1995 to 1999, Dr. Hessner served as European HR Director for Anheuser-Busch, the U.S. brewing corporation, based in the U.K. and, prior to that, spent nine years with various divisions of Mars Incorporated in a variety of Human Resources and general business roles.

 

6


Table of Contents

Dr. Geoffrey J. Hignett (Appointed December 22, 1998)

Age: 54

Geoffrey Hignett serves as Senior Vice President, Corporate Leadership of the Corporation, having been Vice President, Specialty Chemicals from December 1998 to November 2000. Dr. Hignett joined the Corporation’s subsidiary The Associated Octel Company Limited in February 1997 as Business Director, Petroleum Specialties. From May 1993 to January 1997 he served as Director of Technology and Business Director of Water Additives for a division of FMC Corporation, a multinational engineering, manufacturing and chemicals company and prior to that as Technical Director of the Metals and Electronics Division of Laporte plc.

 

Paul W. Jennings (Appointed November 18, 2002)

Age: 47

Paul Jennings serves as Executive Vice President and Chief Financial Officer of the Corporation having joined the Corporation in November 2002. Prior to joining the Corporation, Mr. Jennings served as Chief Financial Officer for Griffin LLC, a joint venture between Griffin Corporation and Dupont in the crop protection chemical industry based in the U.S.A. From 1986 to 1999, Mr. Jennings held the positions of Chief Financial Officer and Vice President – Finance for various divisions and regions of Courtaulds plc working in Europe, U.S.A. and Singapore spanning the fiber, chemical, film and coating industries.

 

Dr. Ian McRobbie (Appointed May 7, 2002)

Age: 56

Ian McRobbie serves as Senior Vice President, Research and Technology, having joined the Corporation in January 2002. Between 1989 and 2002 he was Technical Director of A H Marks and Company Ltd., a privately owned British chemical company operating in agrochemical and specialty chemical markets. Prior to this, he worked in senior research and manufacturing roles for Seal Sands Chemical Co. Ltd. (a wholly owned subsidiary of the Hexcel Corporation based in California) and BTP plc (now part of Clariant).

 

Richard T. Shone (Appointed May 7, 2002)

Age: 57

Richard Shone serves as Vice President, Safety, Health and Environment of the Corporation, having joined its subsidiary, The Associated Octel Company Limited, in a similar capacity in May 1997. Prior to that, from 1986, he served as General Manager, Group Safety Hazards and Environment, Laporte plc, having previously worked for the U.K.’s Health and Safety Executive.

 

Sharon E. Todd (Appointed May 7, 2002)

Age: 38

Sharon Todd serves as Executive Vice President and Corporate Development Director of the Corporation, having joined its subsidiary, The Associated Octel Company Limited, in October 2001. From 1997, she served as Strategic Planning Director at ICI Acrylics in Belgium. Prior to that she held various management positions with Albright & Wilson, her last position being Business Manager of one of its specialty chemical businesses.

 

Dr. Alexander A. Dobbie, former Executive Vice President, resigned effective August 31, 2004.

 

John P. Tayler, former Corporate Secretary and General Counsel, resigned effective April 6, 2004.

 

Family Relationships

 

Charles Hale, who is a director of the Corporation, is the brother of Martin Hale, who is also a director of the Corporation. There are no other family relationships between any of the persons referred to in the sections “Nominees for Director”, “Continuing Directors” or “Officers” above.

 

LEGAL PROCEEDINGS

 

In April 2002, the Corporation commenced proceedings in the Patents Court in the U.K. against Infineum USA L.P. (“Infineum”) for the revocation of the U.K. equivalent of European Patent No. 0807155 (“155”), European Patent No. 0743972 (“972”) and European Patent No. 0743974 (“974”).

 

Octel Corp. (“Octel”) and Infineum have agreed that the issues between them concerning the validity of certain patents should be determined at the European Patent Office (“EPO”), and not in the U.K. courts.

 

7


Table of Contents

Accordingly, Octel and Infineum have agreed that the U.K. proceedings for revocation of the patents and Infineum’s counterclaim for infringement should be stayed while this determination at the European Patent Office took place.

 

The EPO revoked Infineum’s patent 974 completely. Infineum has appealed to the EPO’s Board of Appeal. Octel, along with three other respondents, BASF, Clariant and Ethyl, will make representations to the Board of Appeal. It is unlikely that the appeal will be heard in 2005.

 

With regard to Infineum’s patents 155 and 972, all “composition” claims were revoked. Certain “use” claims were permitted. All five parties (Infineum and the respondents, Octel, BASF, Clariant and Ethyl) have appealed. The 972 appeal is scheduled to be heard in August 2005. All four parties (Infineum, Octel, Clariant and Ethyl) have appealed the 155 patent decision. The appeal is unlikely to be heard in 2005.

 

In addition, Octel has opposed the following Infineum patents in the EPO:

 

i.    EP No: 0890631, a patent for an acid based lubricity enhancer containing a detergent. Opposition filed September 2004.

 

ii.    EP No: 0743973, a patent for a lubricity enhancer and polyoxylalkylene compound. Opposition filed on January 21, 2005.

 

Octel commenced opposition proceedings in the EPO on January 7, 2005 against Rhodia’s patent no: EP1090211. Infineum has opposed Octel’s diesel particulate fuel patent, EP no: EP1047755.

 

On April 20, 2004, United Color Manufacturing filed a claim for damages and injunctive relief under the federal Lanham Act and Pennsylvania’s common law alleging false advertising by Octel Starreon concerning Octel Starreon’s Oil Red B Dyes. Octel Starreon’s management is defending this litigation vigorously, working closely with its outside legal counsel to contest and defend the allegations of the Complaint. Though Octel Starreon views these claims as legally and factually unfounded, the Corporation has taken affirmative action to limit the prospective impact on the Corporation’s exposure. The litigation is in the discovery phase, and there have been no rulings from the Court at this time as to the merits of the claims or defenses.

 

Given the international scope of its operations, the Corporation is subject to laws of many different jurisdictions, including laws relating to the imposition of restrictions on trade and investment with various entities, persons and countries, some of which laws are conflicting. In 2004 the Corporation reviewed, as it does periodically, aspects of its operations in respect of such restrictions, and determined to dispose of certain non-core, non-US subsidiaries of Bycosin AB which had been engaged, since prior to the acquisition in 2001 of Bycosin AB by the Corporation, in transactions and activities, including the sale of certain fuel additives, with entities and persons that are in or associated with Cuba. Consequently, on November 15, 2004, Bycosin AB, a wholly-owned subsidiary of the Corporation organized under the laws of Sweden (now known as Octel Sweden AB, the “Seller”), entered into a Business and Asset Purchase Agreement (the “Agreement”) with Pesdo Swedcap Holdings AB (the “Purchaser”), Håkan Byström and others as the Purchaser’s guarantors, and Octel Petroleum Specialties Limited as the Seller’s guarantor, and completed the all-cash transaction contemplated thereby (together with related transactions, the “Transaction”). The Agreement provided for, among other things: (i) the disposal of certain non-core Petroleum Specialties business and related manufacturing and other assets of the Seller; and (ii) the supply and distribution of certain power products to certain geographic regions. The net consideration paid by the Purchaser was approximately US$2.9 million.

 

Following completion of the Transaction, the Corporation made a voluntary disclosure to the U.S. Office of Foreign Assets Control (OFAC) regarding such transactions and activities engaged in by certain non-core non-US subsidiaries of the Seller. The Corporation has commenced an internal review of such transactions and activities and has disclosed to OFAC the results of such review. While the Corporation believes that it is no longer engaged in business with certain entities, persons and countries that are subject to restrictions and

 

8


Table of Contents

sanctions under U.S. trade laws and regulations and that it has taken appropriate steps to achieve compliance with applicable U.S. laws and regulations relating to trade and investment, if the Corporation or its subsidiaries (current or former) were found not to have complied with such laws or regulations, or any other applicable laws or regulations, including those of jurisdictions the laws of which are conflicting, the Corporation or its subsidiaries could be subject to fines or other civil or criminal penalties which could be material.

 

No director or officer and to our knowledge no affiliate of the Corporation or any associate of any director or officer is involved, or has a material interest in, any proceedings which would have a material adverse effect on the Corporation.

 

Item 103 of Regulation S-K requires disclosure of administrative or judicial proceedings arising under any federal, state or local provisions dealing with protection of the environment, if the monetary sanctions might exceed $100,000. There are currently no such proceedings.

 

Except as described above, there are no other material pending legal proceedings to which the Corporation or any of its subsidiaries is a party, or of which any of their property is subject, other than ordinary, routine litigation incidental to their respective businesses.

 

CORPORATE GOVERNANCE

 

Corporate Governance Guidelines

 

Our Board of Directors believes that the purpose of corporate governance is to ensure that we maximize stockholder value in a manner consistent with all applicable legal and regulatory requirements as well as the highest standards of business ethics and integrity. The Corporation has adopted a set of Corporate Governance Guidelines available on the Corporation’s website, including specifications for director qualification and responsibility, which the Board and senior management believe promote this purpose and represent best practices. The Board of Directors believes that corporate governance is an evolving process and periodically reviews and updates the Corporate Governance Guidelines.

 

The guidelines can be accessed electronically in the Investor Relations section of our website, www.octel-corp.com, or by writing to our Investor Relations Director at Octel Corp., European Headquarters, Global House, Bailey Lane, Manchester, M90 4AA, England.

 

Information about the Board of Directors

 

Attendance

 

The Board of Directors met five times and the Committees of the Board met a total of twenty seven times during fiscal year ended December 31, 2004. Directors are expected to attend all Board Meetings and meetings of committees on which they serve. All of the directors attended the 2004 Annual Meeting. Attendance at the meetings, during fiscal 2004, by nominees and incumbents serving as directors was 100%. All directors attended in person, except for Mr. Charles Hale who attended one meeting by teleconference. Each director attended 90% or more of the meetings of the Board and meetings of committees of the Board on which he or she served.

 

Independent Board of Directors

 

The Board of Directors, after considering broadly all relevant facts and circumstances of which it is aware, including those matters set forth under “Certain Other Transactions and Relationships” and under “Management—Family Relationships”, has determined that a majority of its members are independent within the meaning of The New York Stock Exchange listing rules applicable on the date hereof.

 

9


Table of Contents

The Corporation adopted the following standards for director independence in compliance with the NYSE corporate governance listing standards.

 

1.    No director qualifies as “independent” unless the Board affirmatively determines that the director has no material relationship with the Corporation or its wholly-owned subsidiaries (either directly or as a partner, stockholder or officer of an organization that has a relationship with the Corporation). These determinations must be disclosed.

 

2.    The Board has established the following criteria for determining director independence:

 

a.    A director who is an employee, or whose immediate family member is an executive officer of the Corporation is not “independent” until three years after the end of such employment relationship;

 

b.    A director who receives, or whose immediate family member receives, more than $100,000 per year in direct compensation from the Corporation, other than director and committee fees and pension or other forms of deferred compensation for prior service (provided such compensation is not contingent in any way on continued service), is not “independent” until three years after he or she ceases to receive more than $100,000 per year in such compensation;

 

c.    A director who is affiliated with or employed by, or whose immediate family member is affiliated with or employed in a professional capacity by, a present or former internal or external registered public accounting firm of the Corporation is not “independent” until three years after the end of the affiliation or the employment or auditing relationship;

 

d.    A director who is employed, or whose immediate family member is employed, as an executive officer of another company where any of the Corporation’s present executives serve on that company’s compensation committee is not “independent” until three years after the end of such service or the employment relationship; and

 

e.    A director who is an executive officer or an employee, or whose immediate family member is an executive officer, of a company that makes payments to, or receives payments from, the Corporation for property or services in an amount which, in any single fiscal year, exceeds the greater of $1 million, or 2% of such other company’s consolidated gross revenues, is not “independent” until three years after falling below such threshold.

 

The Board determined that each member of the Board, except for Mr. Kerrison, meets the aforementioned independence standards. Mr. Kerrison does not meet the aforementioned independence standards, because as the current President and Chief Executive Officer of the Corporation, he is an employee of the Corporation.

 

Executive Sessions of Non-Employee Directors

 

“Non-employee” directors are all those who are not Corporation officers, and includes such directors who are not independent by virtue of a material relationship, former status or family membership, or for any other reason. Executive Sessions are led by the Chairman. An executive session is held in conjunction with each regularly scheduled Board meeting and other sessions may be called by the Chairman in his or her own discretion or at the request of the Board. Dr. Robert E. Bew has been designated as the Chairman. There were five executive sessions during fiscal 2004.

 

Contacting the Board of Directors

 

Any stockholder who desires to contact the Chairman or any of the directors of the Corporation may do so via the following e-mail address: contact.board@octel-corp.com, or by writing to them at Octel Corp., Global House, Bailey Lane, Manchester M90 4AA England. Communications received electronically or in writing will be forwarded to the addressee of the communication.

 

10


Table of Contents

Committees of the Board of Directors

 

The Corporation has Executive, Finance, Audit, Safety, Health and Environmental, Compensation and Nominating and Corporate Governance Committees, the members of which are as shown below.

 

Audit Committee

 

The Audit Committee operates pursuant to a written Charter (attached hereto as Appendix A), and is responsible for monitoring and overseeing the Corporation’s internal controls and financial reporting process, the independent audit of the Corporation’s consolidated financial statements by the Corporation’s independent registered public accounting firm, PricewaterhouseCoopers LLP, and the other responsibilities set forth in its Charter. Mr. C. Hale has served as a member of this Committee since its formation on May 11, 1998. On February 20, 2002 Mr. M. Hale was appointed Chairman of this Committee. On March 31, 2004, Mr. Bew was appointed to the Committee. Under the listing standards of The New York Stock Exchange applicable on the date hereof, each of Messrs. R. Bew, M. M. Hale and C. M. Hale is an “independent” director. The Committee met nine times during fiscal 2004. Assuming election to the Board, Mr. Aldous will be appointed to the Audit Committee, effective February 15, 2005. Under the listing standards of The New York Stock Exchange applicable on the date hereof, Mr. Aldous would be considered an “independent” director.

 

All Audit Committee members possess the required level of financial literacy and at least one member of the Committee meets the current standard of requisite financial management expertise as required by The New York Stock Exchange on the date hereof. The Board of Directors has determined that Mr. M. Hale qualifies as an Audit Committee Financial Expert, as such term is defined in Item 401(h) of Regulation S-K, and is independent for purposes of the Securities Exchange Act of 1934. The Board made this determination based on Mr. M. Hale’s 40 years of experience as a securities analyst and portfolio manager with emphasis on balance sheet study and his direct experience serving on the audit committee of the Great Lakes Chemical Corporation for the last 26 years (including five years as its chairman).

 

PricewaterhouseCoopers LLP, the Corporation’s independent registered public accounting firm, report directly to the Audit Committee.

 

The Audit Committee, consistent with the Sarbanes-Oxley Act of 2002 and the rules adopted thereunder, meets with management and the Registered Public Accounting Firm prior to the filing of officers’ certifications with the Securities and Exchange Commission (the “SEC”) to receive information concerning, among other things, significant deficiencies in the design or operation of internal controls.

 

Any stockholder or employee may submit at any time a good faith complaint regarding any questionable accounting, internal accounting controls, or auditing matters concerning the Corporation without fear of dismissal or retaliation of any kind. Employees are encouraged to report their concerns and complaints to the Corporate Secretary or to the Audit Committee. Confidential, anonymous reports may be made by writing to: Corporate Secretary, Octel Corp., Global House, Bailey Lane, Manchester, M90 4AA, England. The Audit Committee has adopted a Complaint Monitoring Procedure Policy to enable confidential and anonymous reporting to the Audit Committee. All complaints received by the Corporation regarding accounting, internal accounting controls or auditing matters will be retained in accordance with the Corporation’s document retention policy.

 

The Corporation’s internal audit group reports directly to the Audit Committee.

 

The Corporation limits the number of public company audit committees its audit committee members serve to three or less.

 

The Audit Committee Report appears later in this Proxy Statement.

 

11


Table of Contents

Executive Committee

 

The Executive Committee has all the powers and authority of the Board of Directors, except those powers specifically reserved to the Board of Directors by Delaware law, the Certificate of Incorporation or the Bylaws of the Corporation or otherwise, to act for the Board, with certain restrictions, on behalf of the Corporation. Dr. Bew (Chairman), Mr. Kerrison, Mr. M. Hale and Mr. Puckridge have served as members of this Committee since its formation on May 11, 1998. The Committee did not meet during fiscal 2004.

 

Finance Committee

 

The Finance Committee reviews and assesses the financial affairs of the Corporation and provides advice to the Board of Directors on financial policies and the financial condition of the Corporation. Mr. C. Hale (Chairman), Dr. Bew and Mr. Kerrison have served as members of this Committee since its formation on May 11, 1998. The Committee met three times during fiscal 2004.

 

Safety, Health and Environmental Committee

 

The Safety, Health and Environmental Committee assesses the Corporation’s safety, health and environmental policies and performance and makes recommendations to management regarding the promotion and maintenance of standards of compliance and performance. Mr. Puckridge (Chairman) and Dr. Fiore have served as members of this Committee since its formation on May 11, 1998. The Committee met once during fiscal 2004.

 

Compensation Committee

 

The Compensation Committee operates under a formal charter that governs its duties and standards of performance. The current version of the Compensation Committee Charter can be accessed at the Corporation’s website www.octel-corp.com.

 

The Compensation Committee reviews management compensation programs, recommends compensation terms and agreements for senior executive officers to the Board for Board approval, reviews changes in compensation for senior executive officers and non-employee directors and administers the Corporation’s stock option plans. Mr. Puckridge and Mr. C. Hale were appointed to the Committee on February 20, 2002. Mr. Puckridge was appointed Chairman on March 31, 2004. Mr. Haubold was appointed to the Committee on March 31, 2004. Under The New York Stock Exchange listing standards applicable on the date hereof, each of Messrs. Puckridge, C. Hale and Haubold is an “independent director”. The Committee met nine times during fiscal 2004.

 

Nominating and Corporate Governance Committee

 

On November 19, 2002, the Corporation formed a Nominating and Corporate Governance Committee and appointed Mr. Haubold as its Chairman and Mr. Puckridge as a member. The purpose of the Nominating and Corporate Governance Committee is to identify individuals qualified to become Board members consistent with criteria approved by the Board, recommend to the Board the persons to be nominated by the Board for election as directors at the annual meeting of stockholders, develop and recommend to the Board a set of corporate governance principles and oversee the evaluation of the Board and management. The Committee met five times during fiscal 2004.

 

Under the listing standards of The New York Stock Exchange applicable on the date hereof each of the members of the Nominating and Corporate Governance Committee meet the appropriate tests for independence. The Nominating and Corporate Governance Committee operates under a formal charter that governs its duties and standards of performance. The charter was filed with the Corporation’s 2004 Proxy Statement and is available on the Corporation’s website.

 

The Nominating and Corporate Governance Committee utilizes a variety of methods for identifying and evaluating nominees for director. The Committee regularly assesses the appropriate size of the Board and

 

12


Table of Contents

whether vacancies on the Board are expected due to retirement or otherwise. In the event that vacancies are anticipated, or otherwise arise, the Committee considers potential candidates for director. Candidates may come to the attention of the Committee through current Board members, professional search firms, stockholders or other persons. These candidates are evaluated at regular or special meetings of the Committee and may be considered at any time during the year.

 

The policy of the Nominating and Corporate Governance Committee is to consider properly submitted stockholder nominations for election to the Board as described in the Corporate Governance Guidelines which may be found on the Corporation’s website. In order for any candidate to be considered by the committee, and if nominated, included in the proxy statement, such recommendation should be received no later than the deadline for submission of stockholder proposals. See “Stockholders’ Proposals For the 2006 Annual Meeting”. Recommendations should be sent to the Corporate Secretary and should specify the nominee’s name, qualification for Board membership and any other information required by the Corporation’s Bylaws. All properly submitted stockholder proposals for director nominees received by the Corporate Secretary will be submitted to the Committee for review and consideration.

 

Disclosure Committee

 

The Corporation has formed a Disclosure Committee, composed of senior members of management, including the Chief Internal auditor, the Group Financial Controller, the Corporate Secretary/General Counsel and the Director of Investor Relations. The Committee’s remit is to help ensure that all disclosures made by the Corporation to its security holders or the investment community are accurate and complete in all material respects, fairly present the Corporation’s financial condition and results of operations in all material respects, and are made on a timely basis as required by applicable laws and stock exchange requirements.

 

Code of Ethics

 

Management has adopted a Code of Ethics, violations of which may be reported to the Chairman of the Nominating and Corporate Governance Committee or the Corporate Secretary. This Code of Ethics is intended to promote, among other things, honest and ethical conduct, full and accurate reporting and compliance with applicable laws and regulations.

 

Copies of Code of Ethics, Corporate Governance Guidelines and Committee Charters

 

Any stockholder who requires a copy of the Code of Ethics, Corporate Governance Guidelines or any of the Board Committee Charters may obtain one by writing to the Investor Relations Director, Octel Corp., Global House, Bailey Lane, Manchester, M90 4AA, England, or by e-mail to: investor@octel-corp.com. These documents can also be accessed via the Corporation’s website, www.octel-corp.com.

 

Compensation of Directors

 

Retainer, Committee and Meetings Fees

 

Non-employee directors receive compensation for their services in the form of an annual retainer, Committee Chairman fees and meeting fees. Corporation employees are not paid any fees or compensation for being on the Board or on any Board committee.

 

In fiscal 2004, the non-employee Chairman of the Board received an annual retainer of approximately $140,000. All other non-employee directors received an annual retainer of approximately $33,000. All non-employee directors received an annual retainer of $6,000 for each committee (other than the Audit Committee) that they chair, $2,500 per day for attendance at Board Meetings and $1,800 per day for attendance at Committee Meetings and for special assignments. They were also reimbursed out-of-pocket expenses. One-quarter of each non-employee director’s annual retainer was paid in shares of the Corporation’s Common Stock.

 

13


Table of Contents

In addition to his remuneration as non-employee director, Mr. Puckridge also receives payment as described below, from the Corporation for consulting and other services rendered to the Corporation. In fiscal 2004, Mr. Puckridge was paid an annual retainer of $25,000 for providing services in connection with U.K. pension matters and $1,800 per day for attendance at pensions meetings. Prior to June 2003 Mr. Haubold was a partner in the law firm Kirkland & Ellis International LLP where he provided legal services to the Corporation. After retiring from Kirkland & Ellis International LLP in June 2003, Mr. Haubold provided consulting services to the Corporation on a transitional and as-needed basis. Mr. Haubold was paid approximately $4,200 (actual £2,400) in 2004 for such services. The provision of such services terminated in February 2004, and since such time Mr. Haubold has received no compensation from the Corporation other than his non-employee director’s fees. Mr. Haubold had no relationship with Kirkland & Ellis International LLP as a partner, attorney or consultant in 2004.

 

In addition to their annual retainer described above, non-employee directors are eligible to participate in The Octel Corp. Non-Employee Directors’ Stock Option Plan, pursuant to which the Compensation Committee may, in its discretion, grant options under the plan to such non-employee directors. There were no stock options granted to the non-employee directors during fiscal 2004.

 

Deferred and Long-Term Compensation

 

None were awarded or in place in the last fiscal year.

 

SECTION 16(A) BENEFICIAL OWNERSHIP REPORTING COMPLIANCE

 

Section 16(a) of the Securities Exchange Act 1934, as amended, requires the Corporation’s directors and officers, and persons who beneficially own more than 10% of a registered class of the Corporation’s Common Stock and other equity securities, to file initial reports of ownership and reports of changes in ownership of the Corporation’s Common Stock or other equity securities with the SEC. Such persons are required by SEC regulations to furnish the Corporation with copies of all Section 16(a) forms they file.

 

Based solely upon a review of the copies of such forms furnished to the Corporation, or written representations that no Form 5 filings were required, the Corporation believes that each of its officers, directors and greater than 10% beneficial owners complied with all Section 16(a) filing requirements applicable to them during fiscal 2004.

 

Based solely upon a review of the copies of such forms furnished to the Corporation, or written representations that no Form 5 filings were required, the Corporation believes that each of its officers, directors and greater than 10% beneficial owners complied with all Section 16(a) filing requirements applicable to them during fiscal 2004 except that: (i) a late Form 5 was filed for each of Geoffrey Hignett, Richard Shone and Dennis Kerrison on January 14, 2005; (ii) a late Form 4 was filed for Dennis Kerrison on June 1, 2004; and (iii) a late Form 4 was filed for Dennis Kerrison on May 20, 2004.

 

TRANSACTIONS WITH EXECUTIVES, OFFICERS, DIRECTORS AND OTHERS

 

On February 24, 2005, Dennis J. Kerrison, the Chief Executive Officer and President of the Corporation arranged to transfer GBP 50,000 (equivalent to approximately SAR 500,000 and approximately USD 95,000) from his bank account in the United Kingdom to the account of the Associated Octel Company (South Africa) (Pty) Limited (“AOCSA”), a wholly-owned indirect subsidiary of Octel Corp. On the same day, at the initiation of Mr. Kerrison, AOCSA made a payment of SAR 500,000 (equivalent to approximately USD 95,000) for Mr. Kerrison’s personal use. Mr. Kerrison’s UK bank sent the funds to AOCSA’s bank on February 24, 2005. Those funds were credited to AOCSA’s bank on February 28, 2005. AOCSA was reimbursed on behalf of Mr. Kerrison for associated costs of approximately ZAR 629 (equivalent to approximately USD 107) on March 3, 2005. See the Annual Report’s “Recent Developments” section for a more detailed description and actions taken by the Corporation.

 

14


Table of Contents

CERTAIN OTHER TRANSACTIONS AND RELATIONSHIPS

 

The Corporation has and continues to retain Kirkland & Ellis International LLP, a law firm in which Mr. Haubold was formerly a partner, to perform significant legal services for the Corporation. Mr. Haubold retired from Kirkland & Ellis International LLP in June 2003.

 

SECURITY OWNERSHIP OF CERTAIN BENEFICIAL

OWNERS AND MANAGEMENT

 

The following table sets forth certain information with respect to the beneficial ownership of the Corporation’s Common Stock as of December 31, 2004 by holders of more than five percent of the Corporation’s outstanding Common Stock and as of February 7, 2005 with regard to the directors of the Corporation and the executive officers of the Corporation included in the summary Compensation Table (“Named Executives”) set forth under the caption “Executive Compensation and Other Information” who were employed by the Corporation as of February 7, 2005, and all current directors and executive officers of the Corporation as a group. As of December 31, 2004, excluding treasury stock, there were 12,387,031 shares of Common Stock outstanding. As of February 7, 2005, excluding treasury stock, there were 12,393,576 shares of Common Stock outstanding. According to the rules adopted by the Securities and Exchange Commission, a person is the “beneficial owner” of securities if he or she has or shares the power to vote them or to direct their investment or has the right to acquire beneficial ownership of such securities within 60 days through the exercise of an option, warrant, right of conversion of a security or otherwise. The percentage of the Corporation’s Common Stock beneficially owned by a person assumes that the person has exercised all options and converted all convertible securities that the person holds which are exercisable or convertible within 60 days of December 31, 2004 for five percent holders and February 7, 2005 for executive officers of the Corporation. To the knowledge of the Corporation, each stockholder has sole voting and investment power with respect to the shares indicated as beneficially owned, unless otherwise indicated in a footnote. Unless otherwise indicated, the business address of each person is the Corporation’s corporate address.

 

Beneficial Owners as of December 31, 2004

(Information as Reported in Schedule 13Gs as of December 31, 2004)

 

Name and Address of Beneficial Owner


   Amount and Nature of
Beneficial Ownership


   Percent
of Class


T. Rowe Price Associates, Inc.(1)

   1,793,000    14.47%

100 E. Pratt Street

         

Baltimore, MD 21202

         

FMR Corp.(2)

   1,381,800    11.16%

82 Devonshire Street

         

Boston, MA 02109

         

White Mountains Insurance Group, Ltd(3)

   1,325,000    10.70%

80 South Main Street

         

Hanover, NH 03755

         

Tontine Capital Partners, LP(4)

   1,008,200    8.14%

55 Railroad Avenue, 3rd Floor

         

Greenwich, Connecticut 06830

         

Barclays Global Investors, NA(5)

   705,845    5.70%

45 Fremont Street

         

San Francisco, CA 94105

         

 

15


Table of Contents

Notes:

 

(1)   According to a Schedule 13G dated February 14, 2005 filed jointly by T. Rowe Price Associates, Inc., a Maryland corporation, (“T. Rowe Price”) and T. Rowe Price Capital Appreciation Fund (“TRP Fund”), the shares of Common Stock shown as beneficially owned by T. Rowe Price are owned by various individual and institutional investors including TRP Fund (which owns 990,000 shares of Common Stock, representing 7.9% of the shares of Common Stock outstanding), to which T. Rowe Price Associates serves as an investment advisor with power to direct investments and/or sole power to vote the securities. For the purposes of the reporting requirements of the Securities Exchange Act of 1934, T. Rowe Price is deemed to be a beneficial owner of such securities, which T. Rowe Price expressly disclaims.
(2)   According to a Schedule 13G dated February 14, 2004 filed jointly by FMR Corp. (“FMR”), Edward C Johnson 3d (“Mr. Johnson”), Abigail P Johnson (“Ms. Johnson”), Fidelity Management & Research Company (“FM&R”) and Fidelity Low-Priced Stock Fund (“Fidelity Stock”), various persons have the right to receive or the power to direct the receipt of dividends from, or the proceeds from the sale of, the Common Stock shown as beneficially owned by FMR, including Fidelity Stock (which owns 1,381,800 shares of Common Stock, representing 11.14% of the shares of Common Stock outstanding). Neither FM&R nor Mr. Johnson have the sole power to vote or direct the voting of the shares directly owned by the Fidelity Funds, which power resides with the Fund’s board of trustees.
(3)   According to a Schedule 13G dated February 11, 2005 filed jointly by White Mountains Insurance Group Ltd., a Bermuda corporation (“WMIG”), parent holding company, and White Mountains Advisors, LLC, a Delaware limited liability company (“WMA”), through an investment advisory agreement, WMA has sole voting and dispositive power over 1,325,000 shares which are beneficially owned by wholly-owned subsidiaries of WMIG which are controlled by White Mountains Advisors LLC (856,000 shares), shares contained in various employee benefit plans of WMIG which are controlled by WMA (419,000 shares) and shares owned by third parties which are controlled by White Mountains Advisors LLC pursuant to an investment advisory agreement (50,000 shares).
(4)   According to Schedule 13G dated February 9, 2005 filed jointly by Tontine Capital Partners, a Delaware limited partnership (“TCP”), Tontine Capital Management, L.L.C., a Delaware limited liability company (“TCM”) and Jeffrey L. Gendell (“Gendell”), 1,008,200 shares are jointly controlled by TCP, TCM and Gendell. TCM, the general partner of TCP, has the power to direct the affairs of TCP, including decisions respecting the disposition of the proceeds from the sale of shares. Gendell is the managing member of TCM and in that capacity, directs its operations.
(5)   According to Schedule 13G dated February 14, 2005 filed jointly by Barclays Global Investors, NA (“BGI”), Barclays Global Fund Advisors (“BGFA”), Barclays Global Investors Ltd., Barclays Global Investors Japan Trust and Banking Company Limited, Barclays Life Assurance Company Limited, Barclays Bank PLC, Barclays Capital Securities Limited, Barclays Capital Inc., Barclays Private Bank & Trust (Isle of Man) Limited, Barclays Private Bank and Trust (Jersey) Limited, Barclays Bank Trust Company Limited, Barclays Bank (Suisse) SA, Barclays Private Bank Limited, Bronco (Barclays Cayman) Limited, Palomino Limited, and HYMF Limited, (“HYMF”) (collectively, the “Barclays Group”), 705,845 shares are beneficially owned by the Barclays Group. BGI beneficially owns 562,449 shares and has sole voting power over 509,201 shares and sole dispositive power over 562,449 shares. BGFA beneficially owns 143,396 shares and has sole voting and sole dispositive power over 143,396 shares. HYMF beneficially owns 705,845 shares and has sole voting power over 652,597 shares and sole dispositive power over 705,845 shares.

 

Share Ownership of Directors and Officers

as of February 7, 2005

 

Name


   Shares Owned
Directly or
Indirectly


   Shares Underlying
Options Exercisable
within 60 days


   Total

   Percent
of Class


 

R Bew

   7,829    33,066    40,895    *  

H Aldous

   1,000    —      1,000    *  

A Dobbie(3)

   —      —      —      *  

B Fiore

   2,812    22,932    25,744    *  

C Hale(1)

   155,251    23,046    178,297    1.44 %

M Hale(1)

   131,703    23,432    155,135    1.25 %

C Hessner

   —      —      —      *  

S Haubold

   3,312    —      3,312    *  

P Jennings

   500    —      500    *  

D Kerrison

   89,583    200,464    290,047    2.34 %

I McRobbie

   —      3,439    3,439    *  

J Puckridge

   2,812    669    3,481    *  

S Todd

   —      10,144    10,144    *  

Directors and Executive Officers
as a group (15 persons)
(2)

   373,434    344,491    717,925    5.79 %

 

16


Table of Contents

Notes:

 

(*)   Less than 1%.
(1)   In the case of Mr. C. Hale and Mr. M. Hale, these figures include 27,960 shares as if these same shares were held by each of them individually. Mr. C. Hale and Mr. M. Hale, however, both disclaim beneficial ownership of these shares as such shares are held in a family trust over which they serve as co-trustees with shared voting power.
(2)   Includes the above named directors and officers (other than Mr. Tayler and Dr. Dobbie who have resigned) as well as G Hignett and R Shone. Note that the 27,960 shares held jointly in trust by Mr. M. Hale and Mr. C. Hale (referred to in note 1) are counted only once in these figures.
(3)   Dr. Dobbie was granted options under various stock option plans during his period of employment with the Corporation. These options were relinquished by Dr. Dobbie as part of his settlement agreement when he left the Corporation.

 

EXECUTIVE COMPENSATION AND OTHER INFORMATION

 

The following table sets forth certain information regarding compensation paid or accrued to Dennis J. Kerrison, President and Chief Executive Officer of the Corporation, and to each of the Corporation’s four next most highly compensated executive officers for services rendered to the Corporation during fiscal 2004, 2003 and 2002.

 

Summary Compensation Table(1)

 

     Annual Compensation

    Long Term
Compensation
Awards


      

Name & Principal Position


   Year

   Salary ($)

   Bonus(2) ($)

   Other Annual
Compensation
($)


   

Number of
Securities
Underlying
Option/

SAR


   All Other
Compensation
($)


 

Dennis J Kerrison

   2004    739,569    534,383    121,404 (3)   25,500    802,824 (4)

President & Chief Executive Officer

   2003    702,292    511,819    101,828     28,000    11,909  
     2002    641,788    330,718    120,408     17,545    178,855  

Alexander A Dobbie

   2004    269,860    —      1,754 (5)   6,000    641,621 (6)

Executive Vice President

   2003    339,499    144,600    —       35,000    —    
     2002    —      —      —       —      —    

Paul W Jennings(9)

   2004    424,003    218,954    1,138 (7)   10,500    20,732 (8)

Executive Vice President & Chief

   2003    363,058    208,023    1,095     35,000    15,178  

Financial Officer

   2002    —      —      —       —      —    

Sharon E Todd(11)

   2004    361,716    135,312    96 (10)   —      —    

Executive Vice President

   2003    235,100    91,960    —       24,000    —    
     2002    212,592    102,316    —       4,509    —    

Cathy Hessner(12)

   2004    220,595    105,524    64 (13)   3,750    16,586 (14)

Senior Vice President

   2003    145,296    75,392    —       18,000    15,491  
     2002    —      —      —       —      —    

Ian M McRobbie

   2004    201,162    109,662    18,569 (15)   5,150    16,627 (16)

Senior Vice President

   2003    191,583    99,349    15,951     24,000    13,358  
     2002    181,660    89,526    17,011     4,172    10,528  

Notes:

 

(1)   All the Executives listed above are paid in pounds sterling. For the purposes of the Summary Compensation Table, an exchange rate of 1.8246 is used for 2002, 2003 and 2004, being the average exchange rate for 2004. The Corporation does not provide restricted stock awards or LTIPs.
(2)   The bonus payments for all the Executives listed above relate to bonus earned for the stated year, but paid in the following year.
(3)   Mr. Kerrison, the President and Chief Executive Officer, received other benefits consisting of tax payments paid by the Corporation on behalf of Mr. Kerrison consisting of $105,402 and life assurance cover, the value of which was $16,002.
(4)  

A payment valued at $802,824 was made into a pension plan on behalf of Mr. Kerrison. In 2004, this payment, which is calculated by an independent global actuary advisor, included an amount to compensate for payments accrued by the Corporation but not paid to the Octel Funded Unapproved Retirement Benefit Scheme (“FURBS”) in previous years. In accordance with his employment contract, Mr. Kerrison, in his position of President and Chief Executive Officer, is entitled to a pension equal to 1/30th of final salary for each year of

 

17


Table of Contents
 

service with the Corporation since his appointment on May 13, 1996. An element of this entitlement is met through his membership of the Octel Pension Plan, the main Corporation defined benefit pension plan, and the remainder is designed to be met through contributions by the Corporation on his behalf to the FURBS, a defined contribution plan. The amount to be paid into this scheme to ensure the value is sufficient to meet the contractual obligation due to Mr Kerrison is calculated annually by an independent global actuary advisor.

(5)   Dr. Dobbie received other benefits consisting of life assurance valued at $1,754.
(6)   Dr. Dobbie joined the Corporation on January 3, 2003 and resigned on August 31, 2004 and at that time received a severance payment of $641,621.
(7)   Mr. Jennings received other benefits consisting of life assurance valued at $1,138.
(8)   Mr. Jennings received a pension benefit valued at $20,732.
(9)   Mr. Jennings joined the Corporation on November 18, 2002.
(10)   Ms. Todd received other benefits consisting of life assurance valued at $96.
(11)   Ms. Todd joined the Corporation on October 22, 2001.
(12)   Dr. Hessner joined the Corporation on March 31, 2003.
(13)   Dr. Hessner received other benefits consisting of life assurance valued at $64.
(14)   Dr. Hessner received a pension benefit valued at $16,586.
(15)   Dr. McRobbie received other benefits consisting of a leased company car, valued at $18,297 and life assurance valued at $272.
(16)   Dr. McRobbie received pension benefit valued at $16,627.

 

Stock Option Plans

 

The Corporation has seven stock option plans, the first five of which provide for grants of options to key employees and non-employee directors. Two other plans provide stock options on an equal basis to all U.K. employees.

 

The five Plans which grant options to key employees or non-employee directors are:

 

i)   The Octel Corp. Company Share Option Plan, as amended (the “Company Plan”)

 

Under the Company Plan, the Directors of the Corporation are permitted to grant options, at their discretion, to both directors required to work more than 20 hours a week for the Corporation and other employees who are required to work more than 25 hours for the Corporation and, in each case, where the grantee does not possess more than ten per cent of the shares of the Corporation. Options under the Company Plan are granted at fair market value at the time of grant.

 

ii)   The Octel Corp. Performance Related Stock Option Plan, as amended (the “Performance Plan”)

 

Under the Performance Plan, the Octel Compensation Committee may, at its discretion, grant options to employees who work for a group company and who do not own more than ten per cent of the total combined voting power of all classes of shares of the Corporation. Under the Performance Plan, the Compensation Committee may grant stock options at such exercise price as it determines. Options granted under this plan are exercisable subject to the Corporation meeting certain performance targets as set by the Compensation Committee. The targets that are set are designed to be “stretch” targets which focus on delivery of high performance and enhancing shareholder value.

 

iii)   The Octel Corp. Non-Employee Directors’ Stock Option Plan, as amended (the “NED Plan”)

 

The NED Plan was adopted on February 24, 2004 by which non-employee directors are granted one quarter of their annual fee in the form of shares for work performed in their capacity as directors. The plan is intended to align the interests of the directors with the Corporation.

 

iv)   The Octel Corp 2004 Executive Co-Investment Plan

 

The Executive Co-Investment Plan was adopted on February 24, 2004 by which certain senior executives are allowed to elect to utilize part of their annual bonus earned to acquire shares in the Corporation and provisionally receive matching shares from the Corporation. For every two shares the employee elects to acquire out of their bonus up to target, the Corporation will provisionally allocate one additional share. In the case of shares the employee elects to acquire out of bonus above target, shares are matched on a one for one basis. Executives must elect to use a minimum of one third of their bonus above-target to acquire shares. The matching shares become vested and transfer to the employee if they continue to hold the acquired shares and be employed by the Corporation on the third anniversary of making the election.

 

18


Table of Contents
v)   The Octel Corp. Time Restricted Stock Option Plan (“TRSOP”)

 

The “TRSOP” provided a limited number of senior managers and executives with stock bonuses in lieu of cash. The bonuses were designed to reward the management of the Corporation for managing the spin-off from Great Lakes Chemical Corporation (“Great Lakes”) and continuing to remain in employment through December 31, 1999. These awards were delivered in the form of options vesting on December 31, 1999 and exercisable by December 31, 2007. As of the date hereof, all the options issued pursuant to this plan have been exercised and no further grants will be made.

 

The two other plans which provide stock options to UK employees are:

 

vi)   The Octel Corp. Savings Related Share Option Scheme, as amended (the “Savings Plan”)

 

The Board of Directors may determine, in their absolute discretion, those employees that may participate in the Savings Plan. Permitted participants will be able to make a fixed contribution from their income to the Savings Plan up to a pre-determined maximum limit.

 

vii)   The Octel Profit Sharing Share Scheme (“Profit Sharing Plan”)

 

In order to encourage motivation and commitment to the new Corporation at the time of the spin-off from Great Lakes, the Compensation Committee granted every U.K. based employee an award of fifteen shares of Common Stock of the Corporation under this plan. On September 7, 2000 the Trustees made a market purchase of 7,620 shares which were held in trust for 508 employees for three years before being assigned to the individuals. The trust, approved by the U.K. Inland Revenue, allowed the stock to be assigned free of any income tax liability. No further awards will be made pursuant to this plan.

 

All Plans except the TRSOP and the Profit Sharing Plan, were approved or were amended, restated and re-approved by stockholders at the 2004 Annual Meeting.

 

Options, and the conditions relating thereto, granted under the above plans are determined by the Compensation Committee. The current limit for the number of shares of Common Stock which can be issued or awarded under the plans listed above is 3,043,000.

 

19


Table of Contents

Stock Option Grants

 

The options granted to the Named Executives during fiscal 2004 pursuant to the plans described above are set out in the following table.

 

Option/SAR Grants in Last Fiscal Year

 

    Individual Grants(1)

 

Potential Realizable Value

at Assumed Annual Rates

of Stock Price

Appreciation for Option

Term(2)


Name


 

No of

Securities
Underlying
Options/
SARS
Granted


  % of Total
Options/SARS
Granted to
Employees in
2004


    Exercise
or Base
Price
($/share)


 

Market

Price of
Underlying
Securities
on Date of
Grant


  Vesting
Date


  Expiration
Date


 

0%

($)


 

5%

($)


 

10%

($)


D J Kerrison

                                     

CSOP

  5,500   5.92 %   23.00   23.00   12/05/2007   12/05/2014   —     79,555   201,608

PRSOP(3)

  20,000   21.52 %   —     23.00   12/05/2007   12/05/2014   460,000   749,292   1,193,122

Total

  25,500                                  

P W Jennings

                                     

CSOP

  2,500   2.69 %   23.00   23.00   12/05/2007   12/05/2014   —     36,161   91,640

PRSOP(3)

  8,000   8.61 %   —     23.00   12/05/2007   12/05/2014   184,000   299,717   477,249

Total

  10,500                                  

A A Dobbie(4)

                                     

CSOP

  1,500   1.61 %   23.00   23.00   12/05/2007   12/05/2014   —     21,697   54,984

PRSOP(3)

  4,500   4.84 %   —     23.00   12/05/2007   12/05/2014   103,500   168,591   268,452

Total

  6,000                                  

C Hessner

                                     

CSOP

  1,000   1.08 %   23.00   23.00   12/05/2007   12/05/2014   —     14,465   36,656

PRSOP(3)

  2,750   2.96 %   —     23.00   12/05/2007   12/05/2014   63,250   103,028   164,054

Total

  3,750                                  

I McRobbie

                                     

CSOP

  1,300   1.40 %   23.00   23.00   12/05/2007   12/05/2014   —     18,804   47,653

PRSOP(3)

  3,850   4.14 %   —     23.00   12/05/2007   12/05/2014   88,550   144,239   229,676

Total

  5,150                                  

S E Todd

                                     

CSOP

  0   —       —     —                      

PRSOP(3)

  0   —       —     —                      

Total

  0   —       —     —                      

Notes:

 

(1)   In the event of a change of control of the Corporation, all options become fully vested and exercisable. In order to prevent dilution or enlargement of rights under the options, in the event of a reorganization, recapitalization, stock split, stock dividend, combination of shares, merger, consolidation, distribution of assets or other change in the corporate structure of shares of the Corporation, the type and number of shares available upon exercise and the exercise price will be adjusted accordingly. The Compensation Committee may, subject to specified limitations, advance the date on which an option shall become exercisable.
(2)   Amounts reflect assumed rates of appreciation compounded annually from the fair market value on the date of grant in accordance with the Securities and Exchange Commission’s executive compensation disclosure rules. Actual gains, if any, on stock option exercises depend on future performance of the Common Stock and overall stock market conditions. No assurance can be made that the amounts reflected in these columns will be achieved.
(3)   The exercise of these options is dependent on the Corporation and the individual achieving specific performance related targets over a three year period.
(4)   Dr. Dobbie resigned the Corporation effective August 31, 2004. Dr. Dobbie was granted options under various stock option plans during his period of employment with the Corporation. The options were relinquished by Dr. Dobbie as part of his settlement agreement when he left the Corporation.

 

20


Table of Contents

Stock Option Exercises and Fiscal Year End Option Values

 

The table below sets forth certain information with respect to the exercise options during the fiscal year ended December 31, 2004 by the named executive officers and the fiscal year-end value of unexecuted in-the-money options held by such officers.

 

Aggregated Option/SAR Exercises in Last Fiscal Year and Fiscal Year-End Option/SAR Values

 

Name


   No of
Shares
Acquired
on Exercise


   Value
Realized
($)(1)


  

Number of Securities

Underlying Unexercised

Options at December 31, 2004


  

Value of Unexercised In-the-
Money Options at December

31, 2004(2)


         Exercisable

   Unexercisable

   Exercisable ($)

   Unexercisable ($)

D J Kerrison

   14,554    113,237    185,425    71,956    1,913,122    890,076

P W Jennings

   —      —      —      45,500    —      894,830

C Hessner

   —      —      —      21,750    —      431,808

S E Todd

   —      —      6,000    28,509    124,860    537,891

I McRobbie

   —      —      —      33,322    —      615,143

Notes:

 

(1)   The amounts in this column are the differences between the fair market value at the exercise date of the Octel Corp. shares acquired through the option exercises and the exercise price of the option.
(2)   The amounts in these columns are the differences between the fair market value of Octel Corp. shares at December 31, 2004 ($20.81 per share), and the exercise price of the option. An option is considered in-the-money when the fair market value of the shares is greater than the exercise price of the option.

 

Equity Compensation Plans

 

The following table summarizes information, as of February 7, 2005, relating to current stock option plans of the Corporation pursuant to which grants of options, restricted stock, restricted stock units or other rights to acquire shares have been granted from time to time under the CSOP, PRSOP, TRSOP, NEDs’ Stock Option Plan, Co-Investment Plan, NED Stock Plan and Savings Related Plan.

 

Equity Compensation Plan Information

 

Plan


   Number of Options
Exercised


   Number of Options
outstanding


   Total Number of
Authorized Shares


PRSOP

   303,974    231,425    1,076,051

CSOP

   551,083    573,428    1,258,730

NEDs Stock Option Plan

   72,461    106,165    263,922

Savings Related Plan

   85,440    84,084    299,297

Co-Investment Plan

   —      —      95,000

NEDs Stock Plan 2004

   —      2,810    50,000
    
  
  

Total

   1,012,958    997,912    3,043,000
    
  
  

 

The closing price of the Corporation’s Common Stock on The New York Stock Exchange on March 4, 2005 was $19.95.

 

Pension Plans

 

The Corporation operates four separate pension plans for executives. One of these is a defined benefit plan which, together with two “top up” defined contribution plans for the eligible executives, are designed to provide

 

21


Table of Contents

in total the equivalent of 1/40 of final salary (or the average of the last three years of service if higher) for each year of service (1/30 for the CEO) with the Corporation. The fourth plan is a stand alone defined contribution plan and the Corporation makes contributions, calculated as a percentage of base salary, to the plans for the eligible executives. The four plans are:

 

  i)   The Octel Pension Plan;
  ii)   The Octel Senior Management Plan;
  iii)   The Octel Funded Unapproved Pension Plan; and
  iv)   The Group Personal Pension.

 

The reason for having the top up defined contribution plans together with the defined benefit plan is to make maximum use of U.K. Inland Revenue approved pension arrangements to optimize both the Executive’s and the Corporation’s tax position.

 

Normal retirement age is the end of the month following the Executive’s 65th birthday.

 

Pension Plan Table

 

Final

Earnings

$


  5 Years

  10 Years

  15 Years

  20 Years

  25 Years

 

@ 1/30

$


 

@ 1/40

$


 

@ 1/30

$


 

@ 1/40

$


 

@ 1/30

$


 

@ 1/40

$


 

@ 1/30

$


 

@ 1/40

$


 

@ 1/30

$


 

@ 1/40

$


150,000

      18,750       37,500       56,250       75,000       93,750

250,000

      31,250       62,500       93,750       125,000       156,250

350,000

      43,750       87,500       131,250       175,000       218,750

450,000

  75,000   56,250   150,000   112,500   225,000   168,750   300,000   225,000   375,000   281,250

550,000

  91,666   68,750   183,333   137,500   275,000   206,500   366,666   275,000   458,333   343,750

650,000

  108,333   81,250   216,667   162,500   325,000   243,750   433,333   325,000   541,667   406,250

750,000

  125,000   93,750   250,000   187,500   375,000   281,250   500,000   375,000   625,000   468,750

 

The table above contains the gross pension amounts payable which would be subject to local income taxes and other benefit costs for the individual. Pension benefits are calculated on a straight-life annuity basis based on eligible executives’ base pensionable salary, as described above, and are shown in the table above prior to withholding for any tax or other types of withholding that may be required at the time of payment. As of December 31, 2004, the final base pensionable salary of the Named Executives and eligible credited years under the pension plans were as follows:

 

Name(1)


   Pensionable Salary ($)

   Eligible Years

Dennis J. Kerrison

   647,736    7

Paul W. Jennings

   186,109    3.25

Ian McRobbie

   203,078    3

Cathy Hessner

   186,109    2

Notes:

 

(1)   During fiscal 2004, neither Dr. Dobbie nor Ms. Todd were eligible to participate in the defined benefit plan; accordingly they are not included in this table.

 

Change in Control and Severance Agreements

 

The Corporation recognizes that establishing and maintaining a strong management team is essential in protecting and enhancing the interests of the Corporation and its stockholders. In order to ensure management stability and the continuity of key management personnel, the Corporation entered into a Change-in-Control agreement with the President and Chief Executive Officer, Mr. Kerrison at the time of the spin-off from Great Lakes. The agreement provides that in the event of a take-over or fundamental restructuring of the business,

 

22


Table of Contents

which results in the loss of Mr. Kerrison’s position, he is entitled to compensation of three years’ pay plus benefits and further that all stock options and grants to Mr. Kerrison shall vest immediately.

 

Employment Agreements

 

Each Executive also has an employment agreement which complies with U.K. employment law and which provides for, among other things, up to 30 days of annual vacation, the provision of a car or car allowance, private health insurance, pension provision, life insurance, permanent health insurance and a rolling one year term of employment (two years for the CEO) which can be terminated by the Corporation upon twelve months notice (24 months for the CEO) and six months (12 months for the CEO) from the Executive.

 

Life Insurance Cover

 

Named Executives are covered by two basic plans. The Corporation’s accidental death plan provides up to six times annual salary in the event of accidental death for whatever reason. Also, as a component of the pension plans, up to four times annual salary is payable for death while in service with the Corporation.

 

Non-employee directors have accidental cover while on Corporation business up to a maximum of $500,000 in the case of death or injury. Cover ceases upon termination of employment with the Corporation and there are no cash surrender values.

 

23


Table of Contents

REPORT OF THE COMPENSATION COMMITTEE

OF THE BOARD OF DIRECTORS ON EXECUTIVE COMPENSATION

 

Compensation Committee Report on Executive Compensation

 

The Compensation Committee reviews and makes recommendations to the Board regarding salaries, compensation and benefits of executive officers and key employees of the Corporation with the assistance of external advisors and develops and administers programs providing stock-based incentives. After consideration of the Compensation Committee’s recommendations, the full Board approves the salaries and bonuses and the stock and benefit programs for the Corporation’s executive officers.

 

Compensation Philosophy

 

The compensation philosophy of the Corporation is to link executive compensation to continuous improvements in corporate performance and increases in stockholder value. The goals of the Corporation’s executive compensation programs are to:

 

  ·   Establish pay levels that are necessary to attract and retain highly qualified executives in light of the overall competitiveness of the market for high quality executive talent and the Corporation’s unique business profile.

 

  ·   Recognize superior individual performance, new responsibilities and new positions within the Corporation.

 

  ·   Balance short-term and long-term compensation to complement the Corporation’s annual and long-term business objectives and strategy and to encourage executive performance in the fulfillment of those objectives.

 

  ·   Provide variable compensation opportunities based on the Corporation’s performance.

 

  ·   Encourage stock ownership by executives.

 

  ·   Align executive remuneration with the interests of stockholders.

 

  ·   Focus on and reward achievement of exceptional performance.

 

Stock Ownership

 

The Compensation Committee believes that it can align the interests of stockholders and executives by providing those persons who have substantial responsibility over the management and growth of the Corporation with an opportunity to establish a meaningful ownership position in the Corporation. As part of this, effective January 1, 2004 the Board has established minimum share ownership guidelines for the members of the senior executive team, to encourage key employees to align their interest closely with those of other stockholders through their participation in The Octel Corp. 2004 Co-Investment Plan participants in the plan will be required to build their shareholdings in the Corporation to the level required by the Compensation Committee (which is currently to reach a share ownership level equivalent in value to 100% of their base annual salary within a four-year period). Currently, only Mr. Kerrison, President and Chief Executive Officer, holds sufficient shares to satisfy this guideline.

 

Compensation Components

 

Corporate and individual performances are recognized through both short- and long-term incentive compensation plans designed to align the interests of executives and stockholders. The total compensation program consists of several components: base salary, which reflects the executive’s level of responsibility and individual performance; annual incentive compensation awards in the form of cash bonuses, which reflect both corporate and individual performance; and long-term incentive compensation in the form of stock options. The

 

24


Table of Contents

latter two components provide at risk compensation which is linked directly to financial results. In addition, the 2004 Co-Investment Plan is linked to the annual cash bonus and hence overall corporate and personal performance, and encourages the senior team to hold shares in the Corporation. The Committee considers all elements of compensation when determining an individual’s total compensation. All compensation is paid in pounds sterling and has been translated into U.S. dollar amounts based on an exchange rate of $1.8246 (the average exchange rate for 2004).

 

Short-Term Incentive Compensation

 

Each year the Committee reviews and determines, along with the other “independent” directors, the base salary of the President and Chief Executive Officer. In conjunction with this review, the Committee also reviews the base salaries of other corporate officers and makes the final compensation recommendations to the Board for Board approval concerning such officers. The median level of the executive market as assessed by external surveys is used as the main criterion in determining base salary. The levels and scope of responsibility, experience, and corporate and business unit performances, as well as individual performance, are also key criteria in base salary determination.

 

A Management Incentive Compensation Plan provides incentive compensation in the form of cash bonuses to executive officers, managers and other selected key employees who have a broad impact on the Corporation’s performance. The philosophy for incentive compensation is to provide awards when financial objectives are achieved or exceeded and provide no or reduced awards when the objectives are not achieved. The awards granted in 2004 were based on pre-established targets for corporate income, cash generation and business unit performance in addition to individual achievement against personal targets.

 

Long-Term Incentive Compensation

 

Long-term incentive compensation is comprised of annual grants of stock options which are designed to encourage key employees to remain with the Corporation and deliver by providing them with a long-term interest in the Corporation’s overall performance and, by focusing on the achievement of exceptional business results, to motivate them to maximize long-term stockholder value. The Corporation’s stock option grant guidelines were designed with the assistance of external compensation consultants. The Committee administers the stock compensation plans. A combination of options at market value at the date of grant and performance related zero cost stock options, which cannot be exercised for at least three years from the date of grant and with a maximum of 10 year exercise from date of grant, will generally be granted annually.

 

Chief Executive’s Compensation

 

Mr. Kerrison’s compensation includes base salary, incentive compensation and stock options. In 2004, consistent with all other executive officers, the President and Chief Executive Officer’s compensation was determined by the Board, based on the Compensation Committee recommendations in accordance with the salary policy, bonus programs and stock option guidelines, namely the Corporation and the President and Chief Executive’s overall performance and motivation to maximize long-term stockholder value. Stock options, which cannot be exercised for at least three years from the date of grant, with a maximum of 10 year exercise from plan inception, will generally be granted annually. The Committee has available information as to the level of past awards and individual stock ownership of the President and Chief Executive Officer, as well as historical information on bonus payments and base salary.

 

The Committee determined that in order to better align Mr. Kerrison’s compensation with stockholder interests, a greater portion of his compensation would be at-risk and directly linked to financial results.

 

Mr. Kerrison’s base salary effective as of January 2004 was approximately $739,569. This salary has been verified by a global external compensation consultancy as in line with market rates for chief executive officers of

 

25


Table of Contents

similar sized businesses in the U.K. A bonus of approximately $534,383 was granted to Mr. Kerrison in consideration of the Corporation’s cash generation and overall financial performance and Mr. Kerrison’s leadership of the Corporation and achievement of specific business objectives during the fiscal year. Consistent with all other executive officers, the President and Chief Executive Officer’s bonus was determined by the Board, based on the recommendation of the Compensation Committee, taking into account three primary factors: achievement of an overall Corporation cash flow target, achievement of an overall Corporation income flow target and achievement of agreed personal objectives.

 

Pursuant to the Corporation Share Option Plan (CSOP), Mr. Kerrison was granted options in respect of 5,500 shares at an exercise price of $23 which will vest on May 12, 2007 and must be exercised by May 12, 2014. On the same date, Mr. Kerrison was also granted 20,000 zero cost options pursuant to the Performance Related Stock Option Plan (PRSOP) which will vest on May 12, 2007, subject to the satisfaction of certain performance criteria specified by the Compensation Committee.

 

In line with normal U.K. practice, Mr. Kerrison also received pension benefits, life assurance and certain tax payments paid by the Corporation on his behalf valued at $924,228.

 

Summary

 

With a significant portion of the Corporation’s executive compensation linked directly to individual and corporate performance and paid in stock, the Committee believes that these compensation practices, together with the share ownership requirement for the senior team, will help ensure alignment with the interests of the Corporation’s stockholders. While recognizing that fluctuations of business cycles may negatively impact financial performance from time to time, the Committee believes that the focus on stretching performance measures through the stock plans, the strong leadership provided by the Corporation’s senior executives and the infrastructure that they have put in place have positioned the Corporation to capitalize on the opportunities that lie ahead.

 

Compensation Committee Interlocks and Insider Participation

 

This report is submitted by the members of the Compensation Committee listed below, none of whom is or has been a full-time employee of the Corporation. Mr. Puckridge and Mr C. Hale were appointed to the Committee on February 20, 2002. Mr Haubold was appointed to the Committee on March 31, 2004. The Committee met nine times during fiscal 2004.

 

During the course of the Corporation’s last fiscal year, none of the members of the Compensation Committee served as an officer or employee of the Corporation or any of its subsidiaries nor had any relationships with the Corporation or any of its subsidiaries requiring disclosure under any paragraph of Item 402(j) (Compensation Committee Interlocks and Insider Participation) or Item 404 (Certain Relationships and Related Transactions) of Regulation S-K.

 

COMPENSATION COMMITTEE

 

James M. C. Puckridge (Chairman) (appointed February 20, 2002)

Charles M. Hale (appointed February 20, 2002)

Samuel A. Haubold (appointed March 31, 2004)

 

26


Table of Contents

AUDIT COMMITTEE REPORT

 

The Board has adopted a written Audit Committee Charter, a copy of which is attached to this Proxy Statement as Appendix A.

 

As part of fulfilling its responsibilities, the Audit Committee:

 

  1.   held meetings with the Corporation’s internal auditors and the independent registered public accounting firm, both in the presence of management and privately to discuss the overall scope and plans for the respective audits, the results of the audits, the evaluations of the Corporation’s internal controls and the overall quality of the Corporation’s final reports;

 

  2.   reviewed and discussed the audited financial statements for fiscal year 2004 with management and the independent registered public accounting firm;

 

  3.   discussed with the independent registered public accounting firm the matters required by Statement of Auditing Standards No. 61 (Communication with Audit Committees) as amended or supplemented; and

 

  4.   received the written disclosure and the letter from PricewaterhouseCoopers LLP required by Independence Standards Board Standard No. 1 (Independence Discussions with Audit Committees) and discussed that firm’s independence with representatives of the firm. The Audit Committee has also considered whether PricewaterhouseCoopers LLP’s provision of non-audit services to the Corporation is compatible with its independence.

 

Based upon these reviews and discussions, the Audit Committee has recommended to the Board of Directors, and the Board of Directors has approved, that the Corporation’s audited financial statements be included in the Corporation’s Annual Report on Form 10-K for the fiscal year ended December 31, 2004 filed with the Securities and Exchange Commission.

 

Principal accountant fees and services

 

Aggregate fees for professional services rendered for the Corporation by PricewaterhouseCoopers LLP as of or for the years ended December 31, 2004 and 2003 (Note 1), were:

 

     2004

   2003

     $’000    $’000

Audit

   2,532    1,348
    
  

Audit Related

   858    423
    
  

Taxation / Compliance

   82    236

Taxation / Advisory

   74    561
    
  

Taxation

   156    797
    
  

All Other

   —      25
    
  

Aggregate (Note 2)

   3,546    2,593
    
  

Audit, Audit Related and Tax Compliance Fees

   3,472    2,007

Tax Advisory and Other Fees

   74    586
    
  
     3,546    2,593
    
  

Note   1: A substantial proportion of the fees billed in all of the categories as of or for the years ended December 31, 2004 and 2003 are       denominated in a currency other than U.S. dollars. Accordingly, fees billed as of or for both periods have been translated at       consistent exchange rates.

 

27


Table of Contents
Note   2: The aggregate fees included in Audit Fees are fees billed for the fiscal years for the audits of the consolidated financial statements of       the Corporation, statutory and subsidiary audits, and review of documents filed with the SEC. The aggregate fees included in each of       the other categories are fees billed in the fiscal years.

 

The Audit Related fees as of the years ended December 31, 2004 and 2003, respectively, were for assurance and related services related to due diligence in respect of acquisitions, Section 404 of the Sarbanes-Oxley Act of 2002 documentation, and consultations concerning financial accounting and reporting standards.

 

Taxation Advisory fees as of the years ended December 31, 2004 and 2003, respectively, for tax planning and tax advice and advice related to mergers and acquisitions.

 

Taxation Compliance fees as of the years ended December 31, 2004 and 2003, respectively, were for services related to tax compliance, including the preparation of tax returns and claims for refund.

 

All Other fees as of the year ended December 31, 2003 were for services rendered for risk management advisory services, treasury advisory services and non-information technology consulting. There were no other fees as of the year ended December 31, 2004.

 

Audit Committee Pre-Approval Policies and Procedures

 

The Corporation’s Audit Committee adopted pre-approval policies and procedures for audit and non-audit services on February 15, 2004 attached as Appendix B to this Proxy Statement. For the years ended December 31, 2004, 2003 and 2002, no fees were paid to the principal accountant for which the de minimis exception was used. The Audit Committee reviewed and approved the audit and non-audit services rendered by PricewaterhouseCoopers to the Corporation during the year 2004 and concluded such services were compatible with maintaining PricewaterhouseCoopers independence.

 

No portion of this Audit Committee Report shall be deemed to be incorporated by reference into any filing under the Securities Act of 1933, as amended (the “Securities Act”), or the Exchange Act, through any general statement incorporating by reference in its entirety the Proxy Statement in which this report appears, except to the extent that the Corporation specifically incorporates this report or a portion of its by reference. In addition, this report shall not be deemed to be filed under either the Securities Act or the Exchange Act.

 

THE AUDIT COMMITTEE

 

Martin M. Hale (Chairman)

Hugh G.C. Aldous

Dr. Robert E. Bew

Charles M. Hale

 

28


Table of Contents

STOCK PRICE PERFORMANCE GRAPH

 

The graph below compares the cumulative total return to stockholders on the Common Stock of the Corporation, S&P 500 Composite Index and S&P Specialty Chemical Index since December 31, 1999, assuming a $100 investment and the re-investment of any dividends thereafter.

 

Octel Corp. vs S&P Equity Indices

Cumulative Total Return to Stockholders since December 31, 1999

 

LOGO

 

Value of $100 investment made December 31, 1999*

 

     December 31,

     1999

   2000

   2001

   2002

   2003

   2004

S&P 500 Composite Index

   100.0    90.97    80.19    62.57    80.32    88.94

S&P 500 Specialty Chemicals Index

   100.0    83.18    88.95    100.10    119.04    137.04

Octel Corp. (OTL)

   100.0    110.84    173.49    152.77    190.87    202.89

*excludes purchase commissions

 

29


Table of Contents

INFORMATION REGARDING THE CORPORATION’S

INDEPENDENT REGISTERED PUBLIC ACCOUNTING FIRM

 

The independent registered public accounting firm of the Corporation, selected by the Audit Committee for the fiscal year ending December 31, 2005, are PricewaterhouseCoopers LLP, 1 Embankment Place, London, WC2N 6RH, England. A representative of PricewaterhouseCoopers LLP is expected to be present at the Annual Meeting and will have the opportunity to make a statement if such representative desires to do so. The representative is also expected to be available to respond to appropriate questions.

 

OTHER MATTERS

 

As of the date of this Proxy Statement, management is not aware of any matters to be presented at the meeting other than the matters specifically stated in the Notice of Meeting and discussed in this Proxy Statement. If any other matter or matters are properly brought before the meeting, the persons named in the enclosed Proxy Form have discretionary authority to vote the proxy on each such matter in accordance with their judgment.

 

SOLICITATION AND EXPENSES OF SOLICITATION

 

The solicitation of proxies will be made initially by mail. The Corporation’s directors, officers and employees may also solicit proxies in person or by telephone without additional compensation. In addition, proxies may be solicited by certain banking institutions, brokerage firms, custodians, trustees, nominees and fiduciaries who will mail material to or otherwise communicate with the beneficial owners of shares of the Corporation’s Common Stock. All expenses of solicitation of proxies will be paid by the Corporation.

 

ANNUAL REPORT TO STOCKHOLDERS

 

Copies of the Corporation’s 2004 Annual Report to Stockholders for the fiscal year ended December 31, 2004 are being mailed with this Proxy Statement to each stockholder entitled to vote at the Annual Meeting. Stockholders not receiving a copy of the Annual Report to Stockholders may obtain one by writing or calling the Investor Relations Director, Octel Corp., European Headquarters, Global House, Bailey Lane, Manchester, M90 4AA, England, telephone 011 44 161 498 8889, or by e-mail to investor@octel-corp.com.

 

30


Table of Contents

STOCKHOLDERS’ PROPOSALS FOR THE 2006 ANNUAL MEETING

 

The Corporation anticipates holding its 2006 Annual Meeting of Stockholders on May 2, 2006.

 

Under the regulations of the Securities and Exchange Commission, any stockholder desiring to make a proposal to be acted upon at the 2005 Annual Meeting of Stockholders must present such proposals to the Secretary of the Corporation at its principal office at 220 Continental Drive, Newark, DE 19713, U.S.A., not later than November 15, 2005.

 

Stockholder proposals or director nominations not included in a proxy statement for an annual meeting must comply with the advance notice procedures and information requirements set forth in the by-laws of the Corporation in order to be properly brought before that annual meeting of stockholders. Under the Corporation’s by-laws, any stockholder desiring to make a proposal to be acted upon at the 2005 Annual Meeting of Stockholders must present such proposals to the Secretary of the Corporation at its principal office at 220 Continental Drive, Newark, DE 19713, U.S.A., not before February 1, 2006 or later than March 3, 2006.

 

By order of the Board of Directors

 

/s/ Andrew Hartley

 

Andrew Hartley

Vice President and General Counsel

 

March 31, 2005

 

PLEASE SIGN, DATE AND RETURN YOUR PROXY CARD

 

31


Table of Contents

APPENDIX A

 

LOGO

 

OCTEL CORP.

 


 

AUDIT COMMITTEE CHARTER

 

Adopted February 24, 2004,

Amended February 15, 2005

 


 

Purpose

 

The Audit Committee’s role is one of overseeing but it understands that Octel Corp.’s (the “Company”) management is responsible for preparing the Company’s financial statements and that the independent auditors are responsible for planning and conducting audits to determine whether the financial statements present fairly in all material respects the financial position of the company. Additionally, the Audit Committee (the “Committee”) understands that financial management, including the internal audit staff, as well as the independent auditors, have more time, knowledge and more detailed information on the Company than do Committee members. Consequently, in carrying out its responsibilities, the Committee is not providing any expert or special assurance as to the Company’s financial statements or any professional certification as to the independent auditor’s work. It is not the duty of the Audit Committee to ensure that the Company complies with laws and regulations.

 

The primary purpose of the Committee is to provide assistance to the Board of Directors (the “Board”) in fulfilling its responsibility relating to the Company’s corporate accounting, reporting practices and the quality and integrity of the financial reports. The Audit Committee’s primary duties are to:

 

  ·   oversee that management has maintained the reliability and integrity of the accounting policies, financial reporting and disclosure practices of the Company;

 

  ·   oversee the determination of the independent auditor’s qualifications and independence;

 

  ·   oversee the performance of the Company’s internal audit function and of the independent auditors;

 

  ·   oversee that management has established and maintained processes to ensure compliance by the Company with all applicable laws, regulations and corporate policy; and

 

  ·   prepare an audit committee report as required by the Securities Exchange Commission (“SEC”) to be included in the Company’s annual proxy statement.

 

In discharging the responsibilities described above, the Committee is empowered to investigate any matter brought to its attention with full access to all books, records, facilities and personnel of the Company and the power to retain external counsel, auditors or other experts for this purpose. The Board and the Committee are in place to represent the interests of the Company’s shareholders; accordingly, the independent auditor is ultimately accountable to the Committee and the Board. The Audit Committee and the Board have the ultimate authority and responsibility to select, evaluate and where appropriate, replace the independent auditor (or to nominate the independent auditor to be proposed for shareholder approval in any proxy statement).

 

The Committee shall perform a review and evaluation, at least annually, of the performance of the Committee. The Committee shall review and reassess the adequacy of this Charter on at least an annual basis and will obtain Board approval for the Charter. The Committee shall determine, at the Committee’s sole discretion and without having to seek the approval of the Board, the appropriate funding needed to carry out the ordinary administrative expenses of the Committee that are necessary and appropriate for carrying out its duties.

 

A-1


Table of Contents

Membership

 

The Committee shall be comprised of not less than three members of the Board, and the Committee’s composition will meet all requirements of the New York Stock Exchange (“NYSE”) and the Securities Exchange Commission (“SEC”) including the requirements of independence established by those institutions.

 

At least one of the members of the Committee shall be an audit committee financial expert who shall possess each of the following attributes:

 

  (i)   An understanding of generally accepted accounting principles and financial statements;

 

  (ii)   The ability to assess the general application of such principles in connection with the accounting for estimates, accruals and reserves;

 

  (iii)   Experience preparing, auditing, analyzing or evaluating financial statements that present a breadth and level of complexity of accounting issues that are generally comparable to the breadth and complexity of issues that can reasonably be expected to be raised by the registrant’s financial statements, or experience actively supervising one or more persons engaged in such activities;

 

  (iv)   An understanding of internal controls and procedures for financial reporting; and

 

  (v)   An understanding of audit committee functions.

 

Committee members shall continue to act until their successors are appointed by the Board and shall be subject to removal at any time by the Board.

 

No Committee Member shall serve on more than two other audit committees of SEC-reporting companies.

 

Meetings

 

The Committee shall meet at least twice annually, or more frequently as circumstances dictate. As part of its job to foster open communication, the Committee should meet at least twice annually with management, with the person responsible for the internal auditing function and the independent auditor separately to discuss any matters that the Committee or each of these groups believes should be discussed privately. In addition, the Committee or at least its Chairperson should meet with the independent auditor and management quarterly to review the Company’s financial statements.

 

Key Responsibilities

 

The following functions shall be the common recurring activities of the Committee in carrying out its overseeing function. These functions are set forth as a guide with the understanding that the Committee may diverge from this guide as appropriate given the circumstances.

 

In carrying out its duties and responsibilities, the Committee may develop policies and procedures, reacting as appropriate to changing conditions, which are intended to help assure the directors and shareholders that the accounting and reporting practices of the Company are in accordance with all requirements and are of the highest quality.

 

The Committee shall review with management and the independent auditors the audited financial statements to be included in the Company’s Annual Report on Form 10-K and review and consider with the external auditors the matters required to be discussed by Statement of Auditing Standards (“SAS”) No. 61 (as amended from time to time).

 

The Committee shall be responsible for reporting to shareholders in the Company’s annual proxy statement as required by applicable law and regulations.

 

A-2


Table of Contents

The Committee shall develop with management general guidelines for earnings press releases, as well as financial information and earnings guidance provided to analysts and rating agencies, and monitor, review and discuss with management and the independent auditors compliance with such guidelines.

 

As a whole, or through the Committee Chair, the Committee shall review with management and the external auditors the Company’s interim and annual financial results to be included in the Company’s quarterly and annual reports to be filed with Securities and Exchange Commission and the matters required to be discussed by SAS No. 61 (as amended from time to time). This review will occur prior to the Company’s filing of the Forms 10-Q and 10-K.

 

The Committee shall discuss with management and the independent and internal auditors the quality and adequacy of the Company’s internal controls, including controls for ensuring financial and operational effectiveness and efficiency, and compliance with laws and regulations and guidance on appropriate risk management procedures.

 

The Committee shall be informed by management, independent and internal auditors, of the Company’s major financial risk exposures and the steps that management has taken to monitor and control such exposures.

 

The Committee shall review: (i) major issues regarding accounting principles and financial statement presentations, including any significant changes in the Company’s selection or application of accounting principles, and major issues as to the adequacy of the Company’s internal controls and any special audit steps adopted in light of material control deficiencies; (ii) analyses prepared by management and/or the independent auditor setting forth significant financial reporting issues and judgments made in connection with the preparation of the financial statements, including analyses of the effects of alternative GAAP methods on the financial statements; (iii) the effect of regulatory and accounting initiatives, as well as off-balance sheet structures, on the financial statements of the Company; and (iv) the type and presentation of information to be included in earnings press releases (in particular, with regard to any use of “pro forma,” or “adjusted” non-GAAP, information), as well as review any financial information and earnings guidance provided to analysts and rating agencies.

 

The Committee shall through discussion with management and the independent and internal auditors ensure that:

 

  ·   all significant deficiencies in the design or operation of internal controls which could adversely affect the Company’s ability to record, process, summarize and report financial data are reported to the Committee;

 

  ·   the Company’s independent auditors have been notified of any material weaknesses; and

 

  ·   any fraud, whether or not material, that involves management or other employees who have a significant role in the Company’s internal controls is reported to the Committee.

 

The Committee shall oversee the independence of the independent auditors by:

 

  ·   approving all non-audit services by the independent auditors;

 

  ·   requesting from the independent auditors annually, a formal written statement delineating all relationships between the auditor and the Company consistent with Independence Standards Board Standard Number 1;

 

  ·   discussing with the independent auditors any such disclosed relationships and their impact on the independent auditor’s independence; and

 

  ·   recommending that the Board take appropriate action in response to the independent auditor’s report to satisfy itself of the auditor’s independence.

 

A-3


Table of Contents

The Committee shall, at least annually, obtain and review a report by the independent auditor describing: the firm’s internal quality-control procedures; any material issues raised by the most recent internal quality-control review, or peer review, of the firm, or by any inquiry or investigation by governmental or professional authorities, within the preceding five years, respecting one or more independent audits carried out by the firm, and any steps taken to deal with any such issues; and (to assess the auditor’s independence) all relationships between the independent auditor and the Company.

 

The Committee shall discuss earnings press releases, as well as financial information and earnings guidance provided to analysts and rating agencies.

 

The Committee shall be directly responsible for the appointment, compensation, retention and oversight of the work of any registered public accounting firm, including the Company’s independent auditors, engaged (including resolution of disagreements between management and the auditor regarding financial reporting) for the purpose of preparing or issuing an audit report or performing other audit, review or attest services for the Company, and each such registered public accountancy firm must report directly to the Committee.

 

The Committee shall in conjunction with the independent auditor and the internal auditors, review the integrity of the Company’s financial reporting processes, both internal and external.

 

The Committee shall consider and approve, if appropriate, major changes to the Company’s accounting principles and practices proposed by management, discuss with the independent accountants any significant changes in auditing standards or their audit scope and consider and approve, if appropriate, any significant changes to the auditing practices of the internal auditors.

 

The Committee shall obtain periodic reports from the Company’s independent auditor relating to critical accounting policies and practices to be used; alternative treatments of financial information within generally accepted accounting principles that have been discussed with management; the ramifications of such alternative treatments; a summary of the treatment preferred by the Company’s independent auditor; and other material written communications between the Company’s independent auditor and management, such as any management letter of schedule of audit differences.

 

The Committee shall establish regular systems of reporting to the Committee by each of management, the auditor and the internal auditors regarding:

 

  ·   any significant judgments made in management’s preparation of the financial statements, particularly with reference to accruals, reserves or other estimates that have a significant impact on the financial statements;

 

  ·   any significant difficulties encountered during the course of the review or audit, including any restrictions on the scope of the work or access to required information; and

 

  ·   any unusual or complex items and their accounting treatment.

 

The Committee shall review any disagreement among management and the independent auditor or the internal auditors in connection with the preparation of the financial statements.

 

The Committee shall periodically review the scope of work and audit plans of the independent and internal auditors.

 

The Committee shall approve the fees to be paid to the independent auditor, and pre-approve all non-audit services to be performed by the independent auditor.

 

The Committee shall establish clear hiring policies for employees or former employees of the Company’s auditor.

 

A-4


Table of Contents

The Committee shall:

 

  ·   in its sole discretion and at the Company’s expense, obtain advice and assistance from outside legal, accounting or other advisors as it deems necessary in the performance of its duties and to receive appropriate funding for compensation of such advisors without having to seek the approval of the Board;

 

  ·   discuss policies with respect to risk assessment and risk management;

 

  ·   meet separately, periodically, with management, with internal auditors (or other personnel responsible for the internal audit function) and with independent auditors;

 

  ·   review with the independent auditor any audit problems or difficulties (including any restrictions on the scope of the auditor’s activities or on access to information, and any significant disagreement with management) and management’s response;

 

  ·   report regularly to the Board of Directors;

 

  ·   review with the Company’s counsel any legal matter that could have a significant impact on the financial statements;

 

  ·   maintain minutes or other records of meetings and activities of the Committee; and

 

  ·   perform such other duties and responsibilities as may be assigned from time to time by the Board.

 

The Committee shall establish procedures for the receipt, retention and treatment of complaints received by the Company regarding accounting, internal accounting controls or auditing matters and monitor the resolution of such complaints.

 

The Committee shall establish procedures for the confidential, anonymous submission by employees of the Company of concerns regarding questionable accounting or auditing matters and monitor compliance with such procedures in line with the Company’s Code of Ethics as published on its web site.

 

A-5


Table of Contents

Appendix B

 

LOGO

 

OCTEL CORP.

 


 

PRE-APPROVAL POLICIES AND PROCEDURE

FOR AUDIT AND NON-AUDIT SERVICES

 

Adopted March 4, 2004, Updated February 15, 2005

 


 

Purpose of Policy

 

Under the Sarbanes-Oxley Act of 2002 (the “Act”), and the rules of the Securities and Exchange Commission (the “SEC”), the Audit Committee of the Company’s Board of Directors (the “Audit Committee”), is required to pre-approve the audit and non-audit services performed by the independent auditor in order to assure that the provision of such services does not impair the auditor’s independence. Accordingly, the Audit Committee is adopting this Audit and Non-Audit Services Pre-Approval Policy, which sets forth the procedures and the conditions pursuant to which services to be performed by the independent auditor are to be pre-approved.

 

To implement the provisions of the Act, the SEC has issued rules specifying the types of services that an independent auditor may not provide to its audit client and governing the Audit Committee’s administration of the engagement of the independent auditor. Unless a type of service to be provided by the independent auditor has received general pre-approval at the quarterly meeting of the Audit Committee, it will require specific pre-approval by the Audit Committee. Any proposed services exceeding pre-approved cost levels, as such levels are determined by the Audit Committee at the time such services are pre-approved, will require specific pre-approval by the Audit Committee. The term of any pre-approval is 12 months from the date of pre-approval, unless the Audit Committee specifically provides for a different period. The Audit Committee will periodically revise the list of pre-approved services, based on subsequent determinations.

 

Delegation

 

The Audit Committee may delegate pre-approval authority to the Audit Committee Chairman. The Chairman to whom such authority is delegated shall report any pre-approval decisions to the Audit Committee at its next scheduled meeting. The Audit Committee does not delegate its responsibilities to pre-approve services performed by the independent auditor to management.

 

Prohibited Services

 

The Audit Committee will not approve, nor will the Company’s independent auditor perform for the Company any services that constitute Prohibited Activities as defined by the Act or by regulations promulgated by the SEC. These prohibited activities include:

 

  a.   bookkeeping or other services related to the accounting records or financial statements of the audit client;

 

  b.   financial information systems design and implementation;

 

  c.   appraisal or valuation services, fairness opinions, or contribution-in-kind reports;

 

B-1


Table of Contents
  d.   actuarial services;

 

  e.   internal audit outsourcing services;

 

  f.   management functions or human resources;

 

  g.   broker or dealer, investment adviser, or investment banking services;

 

  h.   legal services and expert services unrelated to the audit; and

 

  i.   any other service that the Public Company Accounting Oversight Board determines, by regulation, is impermissible.

 

Non-Prohibited Services

 

Audit Services

 

The annual Audit services engagement terms and fees will be subject to the specific pre-approval of the Audit Committee. The Audit Committee will monitor the audit services engagement throughout the year and will also approve, if necessary, any changes in terms, conditions and fees resulting from changes in audit scope, Company structure or other matters. The Audit Committee will request that the audit engagement letter with the independent auditor be addressed to the Chairman of the Audit Committee and that the Chairman of the Audit Committee execute the engagement letter on behalf of the Company. The Audit services include the following:

 

  ·   the annual financial statement audit (including required quarterly reviews) and other procedures required to be performed by the independent auditor to be able to form an opinion on the Company’s consolidated financial statements;

 

  ·   services associated with SEC registration statements, periodic reports and other documents filed with the SEC or other documents issued in connection with securities offerings (e.g., comfort letters, consents), and assistance in responding to SEC comment letters; and

 

  ·   consultations by the Company’s management as to the accounting or disclosure treatment of transactions or events and/or the actual or potential impact of final or proposed rules, standards or interpretations by the SEC, FASB, or other regulatory or standard setting bodies.

 

Other Audit and Non-Audit Services

 

In addition to the annual Audit services engagement approved by the Audit Committee, the Audit Committee may grant pre-approval for other audit and non-audit services, which are those services that the Audit Committee believes that the independent auditor reasonably can provide without impairing the independence of the auditor. The other audit and non-audit services set forth below shall be subject to the general pre-approval of the Audit Committee at the cost level determined by the Audit Committee at the time of such approval. All other audit and non-audit services shall be specifically pre-approved by the Audit Committee.

 

Audit-Related Services

 

Audit-related services are assurance and related services that are reasonably related to the performance of the audit or review of the Company’s financial statements and that are traditionally performed by the independent auditor. The Audit Committee believes that the provision of Audit-related services does not impair the independence of the auditor, and shall pre-approve the Audit-related services on a quarterly basis. All other Audit-related services not approved at the quarterly meeting of the Audit Committee must be separately pre-approved by the Audit Committee. Audit-related services include the following:

 

  ·   due diligence services pertaining to potential business acquisitions/dispositions;

 

  ·   research and consultation regarding accounting and financial reporting transactions;

 

B-2


Table of Contents
  ·   financial statement audits of employee benefit plans;

 

  ·   agreed-upon or expanded audit procedures related to accounting records required to respond to or comply with financial, accounting or regulatory reporting matters;

 

  ·   internal control reviews and assistance with internal control reporting requirements;

 

  ·   consultations by the Company’s management as to the accounting or disclosure treatment of transactions or events and/or the actual or potential impact of final or proposed rules, standards or interpretations by the SEC, FASB, or other regulatory or standard-setting bodies; and

 

  ·   attest services not required by statute or regulation.

 

Tax Services

 

The Audit Committee believes that the independent auditor can provide Tax services to the Company such as tax compliance, tax planning and tax advice without impairing the auditor’s independence. However, the Audit Committee will not permit the retention of the independent auditor in connection with a transaction initially recommended by the independent auditor, the purpose of which may be tax avoidance and the tax treatment of which may not be supported in the Internal Revenue Code and related regulations. The Audit Committee shall pre-approve any Tax services on a quarterly basis. Tax services include the following:

 

  ·   U.S. federal, state and local tax compliance, planning and advice international tax compliance, planning and advice; and

 

  ·   review of federal, state, local and international income, franchise, and other tax returns.

 

Other Non-audit Services

 

The Audit Committee may grant pre-approval to those permissible non-audit services classified as Other Non-audit services that it believes are routine and recurring services, and would not impair the independence of the auditor. The Audit Committee shall pre-approve the Other Non-audit services on a quarterly basis. Other Non-audit services which are not approved at the quarterly meeting of the Audit Committee must be separately pre-approved by the Audit Committee.

 

Supporting Documentation

 

With respect to each proposed pre-approved service, the independent auditor will provide detailed back-up documentation, at the request of the Audit Committee, regarding the specific services to be provided.

 

Procedures

 

Requests or applications to provide services that require separate approval by the Audit Committee will be submitted to the Audit Committee by both the independent auditor and the Company’s Chief Financial Officer or other designated officer, and must include a joint statement as to whether, in their view, the request or application is consistent with the SEC’s rules on auditor independence.

 

B-3


Table of Contents

 

 

 

P

R

O

X

Y

 

 

 

 

[OCTCM - OCTEL CORPORATION]  [FILE NAME: ZOCT82.ELX]  [VERSION - (3)]  [03/09/05]  [orig. 03/03/05]

 

DETACH HERE

ZOCTC2

 

PROXY 2005

 

OCTEL CORP.

 

This Proxy is Solicited on behalf of the Board of Directors

 

The undersigned hereby appoints DENNIS J. KERRISON and PAUL W. JENNINGS and each of them with full power of substitution, as the proxies of the undersigned, to attend the Annual Meeting of Stockholders to be held on Tuesday, May 3, 2005, at 10:00 a.m. and any adjournment or postponement thereof, and to vote the stock the undersigned would be entitled to vote, if present, on the items listed on the reverse side of this proxy card.

 

THIS PROXY WILL BE VOTED AS SPECIFIED; OR IF NO CHOICE IS SPECIFIED, IT WILL BE VOTED “FOR” THE ELECTION OF THE DIRECTOR NOMINEES AND “FOR” PROPOSALS 3 AND 4.

 

Applicable law requires the corporation to send separate proxy statements and proxy cards for all your accounts.

 

PLEASE VOTE, DATE AND SIGN THIS PROXY ON THE OTHER SIDE AND RETURN PROMPTLY IN THE ENCLOSED ENVELOPE.

 

HAS YOUR ADDRESS CHANGED?       DO YOU HAVE ANY COMMENTS?
         
         
         


Table of Contents

OCTEL CORP.

C/O EQUISERVE TRUST COMPANY, N.A.

P.O. BOX 8694

EDISON, NJ 08818-8694

 

[OCTCM – OCTEL CORPORATION non-scan proxy] [FILE NAME: ZOCT81.ELX] [VERSION – (3)] [03/09/05] [orig. 03/03/05]

 

DETACH HERE IF YOU ARE RETURNING YOUR PROXY CARD BY MAIL

ZOCTC1

 

    x    Please mark votes
as in this example
                                                                              #OCT
                                                                                      
    OCTEL CORP.                                                                        
                                                                             

1.

 

Election of Directors

                                 2.  

Election of New Director

Nominee: (03) Mr. Hugh G.C. Aldous

   
   

Nominees: (01) Mr. Charles M. Hale and (02) Mr. Samuel A. Haubold

               
         FOR
ALL
NOMINEES
  ¨   ¨         WITHHELD                            
FROM ALL                             
NOMINEES                             
                                              FOR
THE
NOMINEE
  ¨   ¨   WITHHELD
FROM THE
NOMINEE
           
   

¨

                                                                            
         For all nominees except as written above                                                               FOR   AGAINST   ABSTAIN
                                                 3.   To ratify the appointment of PricewaterhouseCoopers LLP as the Corporation’s independent registered public accounting firm for the fiscal year ending December 31, 2005;   ¨   ¨   ¨
                                                 4.   In their discretion, the Proxies are authorized to vote upon any other matter which may properly come before the meeting.
                                                     Mark box at right if you have address change/comment on the reverse side.   ¨
                                                     Mark box at right if you plan to attend the Annual Meeting.   ¨
                                                     Please sign this proxy exactly as name appears hereon. When shares are held by joint tenants, both should sign. When signing as attorney, administrator, trustee or guardian, please give full title as such.

 

Signature:

       Date:        Signature:        Date: